Última actualización :
27/01/2026
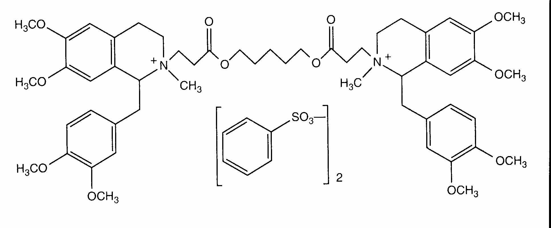
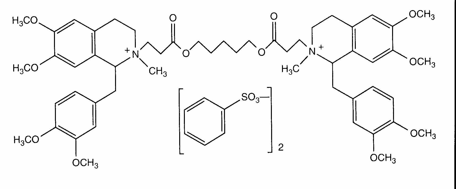
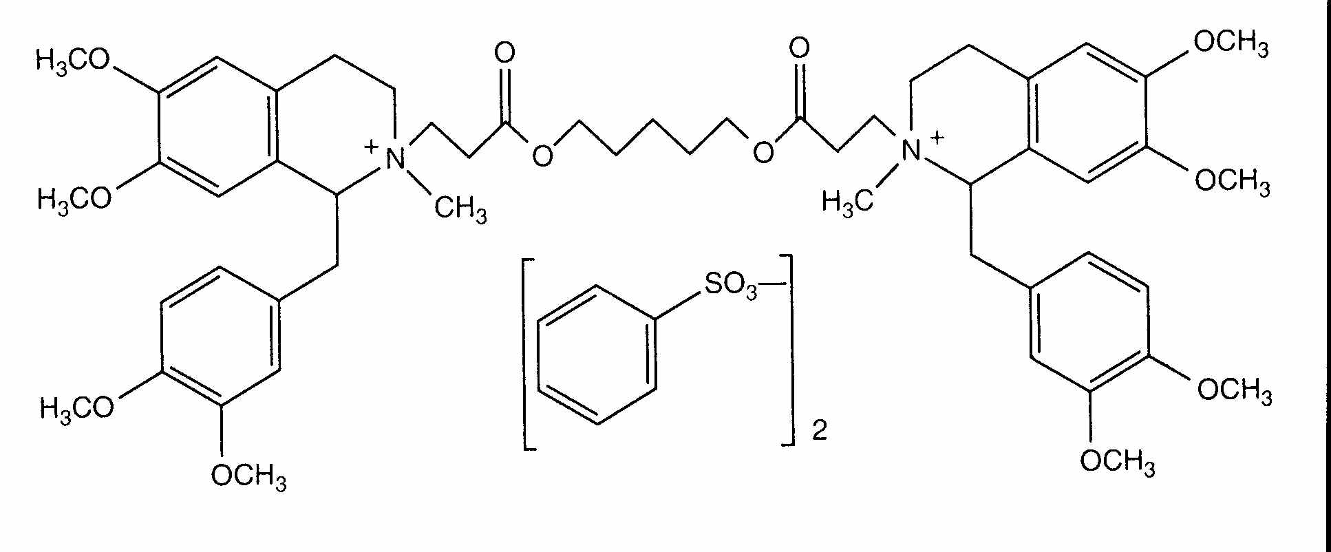
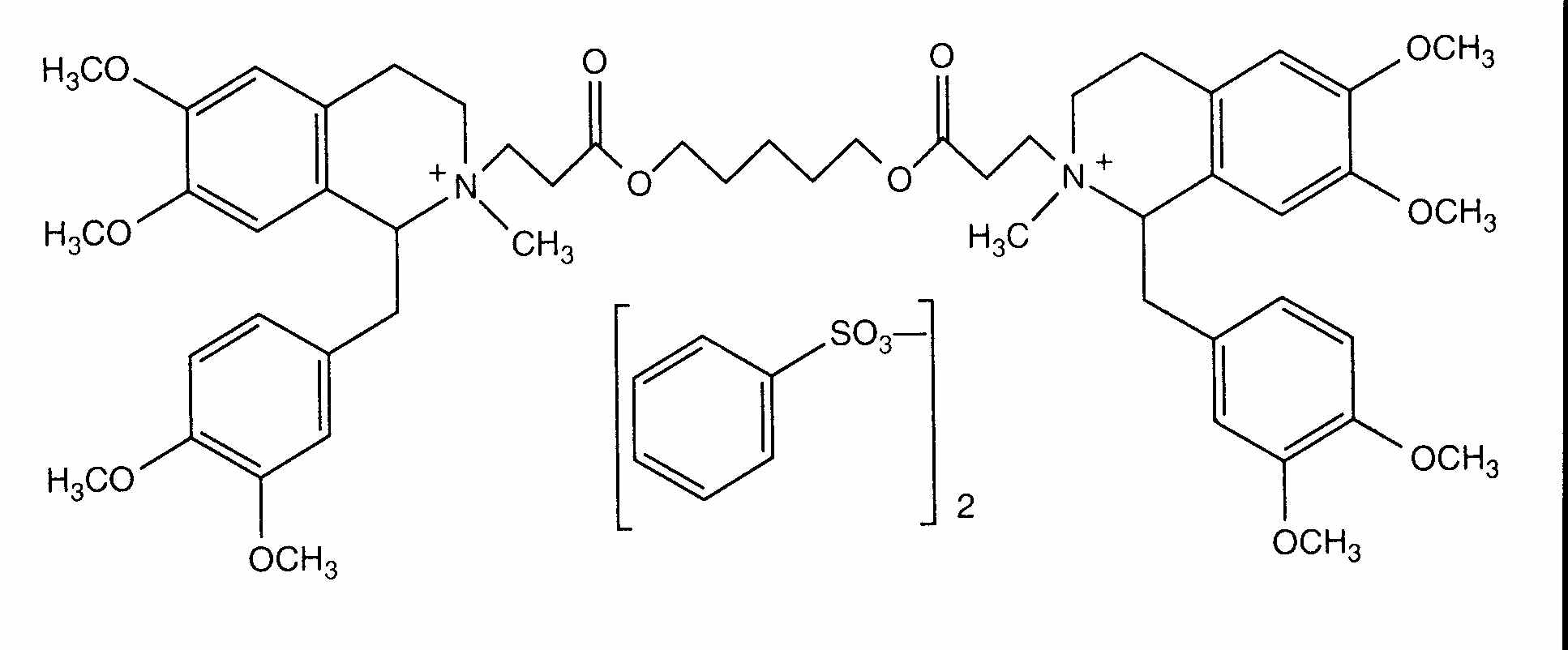
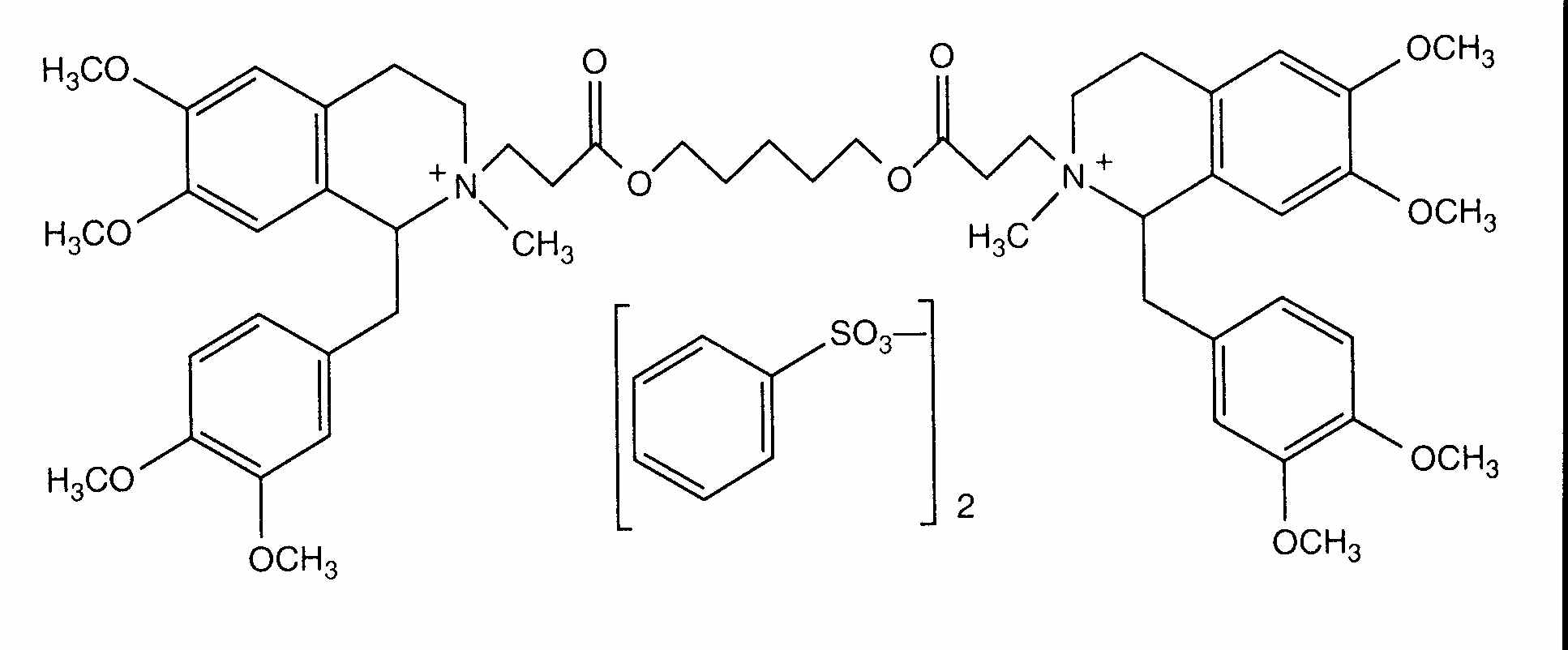
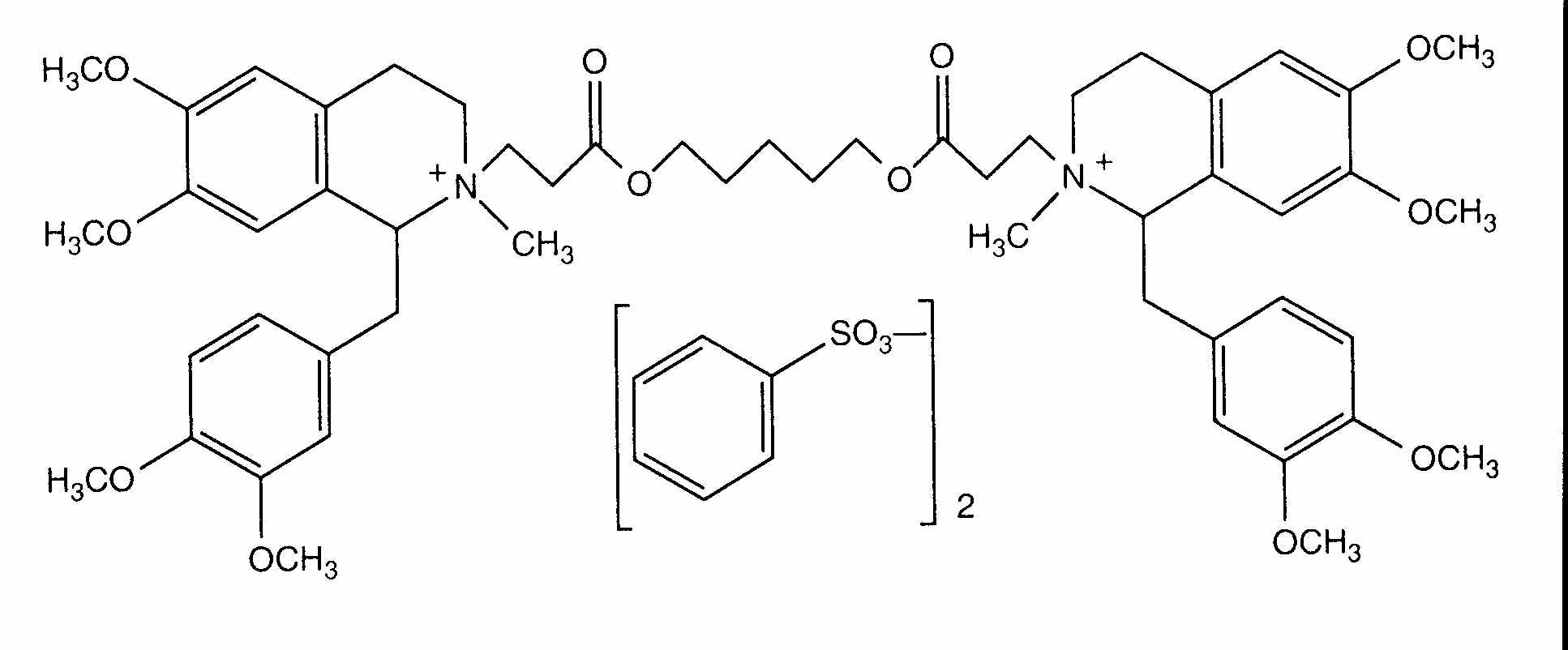
Curarizante   Atracurium besylate  
Inyectables
Estabilidad en solucion Estabilidad en mezcla Factores que influyen sobre la estabilidad Compatibilidades método de inyección Bibliografía pdf
   Estructura química  

Nombre comercial   Nombre comercial     

Los nombres comerciales son orientativos y los excipientes de la formulación pueden ser distintos dependiendo del país y del laboratorio fabricante.

Abbocurium Polonia
Acurmil Italia
Ancour Irán
Anecur Irán
Atacur Arabia Saudita
Atrabesylate Egipto
Atracurio Argentina, Brasil, España
Atracurio besilato Chile, Italia, Marruecos, Venezuela
Atracurium Alemania, Arabia Saudita, Argentina, Austria, Egipto, Emiratos Árabes Unidos, Gran Bretaña, Irán, Italia, Malasia, Suecia
Atracurium besilat Austria
Atracurium besilate Arabia Saudita, Australia, Canadá, Egipto, Emiratos Árabes Unidos, Estados Unidos de América, Irán, Nueva Zelanda
Atralex Malasia
Atrasyl Turquía
Besilato Atracurio Chile, España, Portugal
Faulcurium Egipto, Portugal
Gelolagar Argentina
Laurak España
Neucurium Turquía
Notrixum Turquía
Relactrac Colombia
Relatrac México
Tracrium Alemania, Arabia Saudita, Austria, Bélgica, Chile, Colombia, Ecuador, Egipto, Emiratos Árabes Unidos, Eslovenia, España, Estados Unidos de América, Francia, Gran Bretaña, Grecia, Hungría, Irán, Irlanda, Italia, Luxemburgo, Malasia, Marruecos, México, Nueva Zelanda, Países Bajos, Polonia, Portugal, Rumania, Suiza, Turquía
Tracumek Marruecos
Tracurix Argentina
Tracuron Argentina
Estabilidad en solucion   Inyectables   Estabilidad en solucion : Atracurium besylate     
Envase Solvente Concentración Temperatura Conservación Duración de la estabilidad Bibliografía
jeringa polipropileno Cloruro de sodio 0,9% 0,5 >> 5 mg/ml < 30°C A cubierto de la luz
24 Hora
3676
Datos de estabilidad del fabricante

jeringa polipropileno Glucosa 5% 0,5 >> 5 mg/ml < 30°C A cubierto de la luz
24 Hora
3676
Datos de estabilidad del fabricante

jeringa polipropileno Ninguno 10 mg/ml 25°C No precisada
42 Día
657
Nivel de evidencia D

jeringa polipropileno Ninguno 10 mg/ml 40°C No precisada
7 Día
657
Nivel de evidencia D

jeringa polipropileno Ninguno 10 mg/ml 5°C A cubierto de la luz
42 Día
657
Nivel de evidencia D


  Mentions Légales