Ultimele actualizari :
27/01/2026
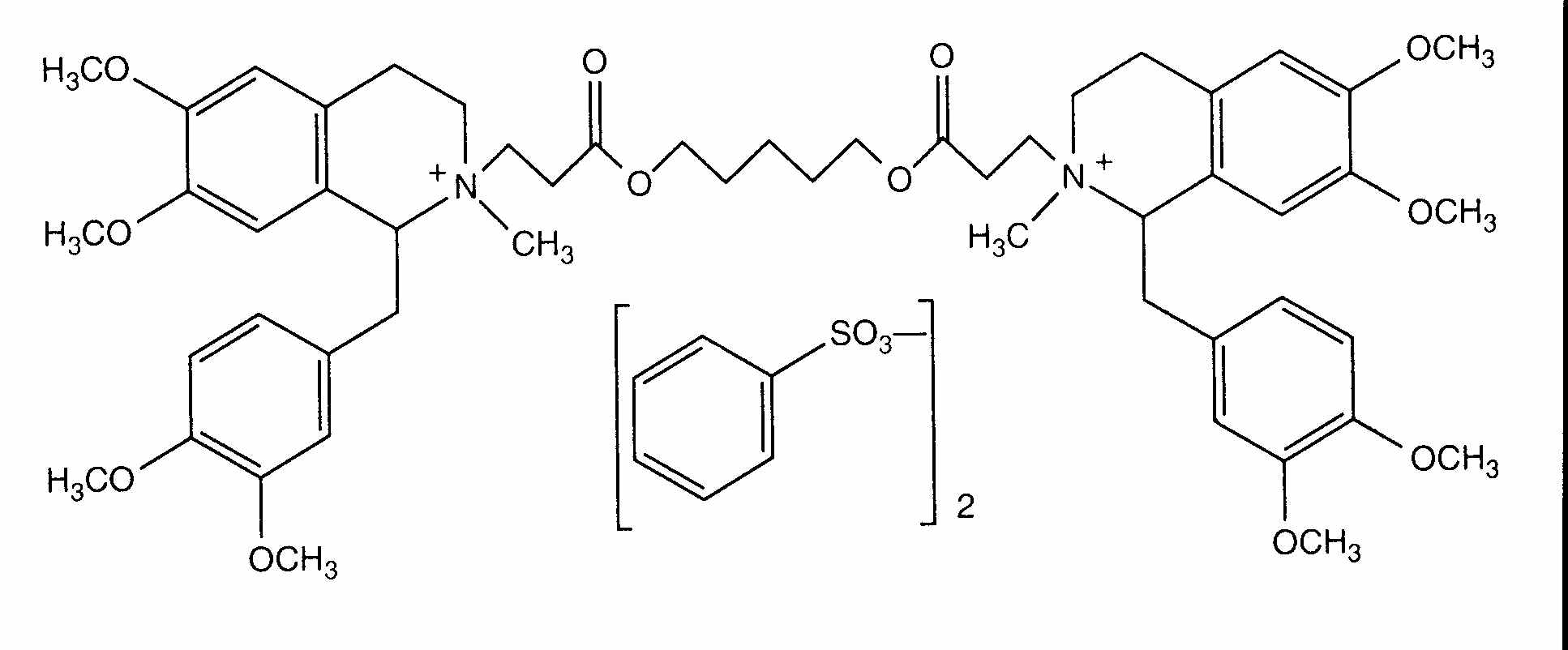
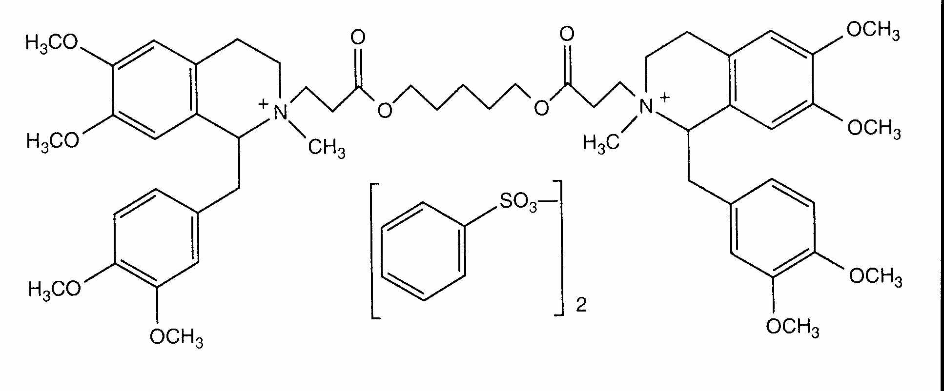
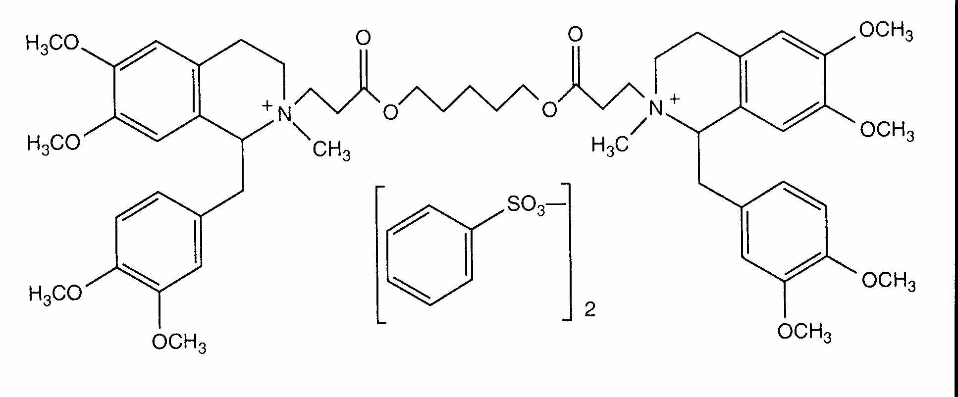
Curarizant   Atracurium besylate  
Injectabil
Stabilitatea in solutie Stabilitatea in amestec Factorii care influenteaza stabilitatea Compatibilitate Microunde Bibliografie pdf
   Formula chimica  

Denumirea comerciala   Denumirea comerciala     

Trade names are indicative and excipients composition can be different depending on the country and manufacturers

Abbocurium Polonia
Acurmil Italia
Ancour Iran
Anecur Iran
Atacur Arabia Saudita
Atrabesylate Egipt
Atracurio Argentina, Brazilia, Spania
Atracurio besilato Chilli, Italia, Peru, Venezuela
Atracurium Arabia Saudita, Argentina, Austria, Egipt, Emiratele Arabe Unite, Germania, Iran, Italia, Malaezia, Marea Britanie, Suedia
Atracurium besilat Austria
Atracurium besilate Arabia Saudita, Australia, Canada, Egipt, Emiratele Arabe Unite, Iran, noua Zeelandă, SUA
Atralex Malaezia
Atrasyl Turcia
Besilato Atracurio Chilli, Portugalia, Spania
Faulcurium Egipt, Portugalia
Gelolagar Argentina
Laurak Spania
Neucurium Turcia
Notrixum Turcia
Relactrac Columbia
Relatrac Mexic
Tracrium Arabia Saudita, Austria, Belgia, Chilli, Columbia, Ecuador, Egipt, Elvetia, Emiratele Arabe Unite, Franta, Germania, Grecia, Iran, Irlanda, Italia, Luxemburg, Malaezia, Marea Britanie, Maroc, Mexic, noua Zeelandă, Olanda, Polonia, Portugalia, Romania, Slovenia, Spania, SUA, Turcia, Ungaria
Tracumek Peru
Tracurix Argentina
Tracuron Argentina
Stabilitatea in solutie   Injectabil   Stabilitatea in solutie : Atracurium besylate     
Continut Solvent Concentratie Temperatura Conservare Durata stabilității Bibiografie
seringă polipropileno clorura de sodiu 0,9% 0,5 >> 5 mg/ml < 30°C Ferit de lumina
24 Ora
3676
Documentele de stabilitate ale producătorului

seringă polipropileno Glucoza 5% 0,5 >> 5 mg/ml < 30°C Ferit de lumina
24 Ora
3676
Documentele de stabilitate ale producătorului

seringă polipropileno fara 10 mg/ml 25°C Neprecizat
42 Ziua
657
Nivel de evidență D

seringă polipropileno fara 10 mg/ml 40°C Neprecizat
7 Ziua
657
Nivel de evidență D

seringă polipropileno fara 10 mg/ml 5°C Ferit de lumina
42 Ziua
657
Nivel de evidență D


  Mentions Légales