Ultimo aggiornamento :
27/01/2026
Curarizzante   Atracurium besylate  
Iniezione
Stabilità in soluzione Stabilità in miscela Fattori che influenzano la stabilità Compatibilità metodo di iniezione Bibliografia pdf
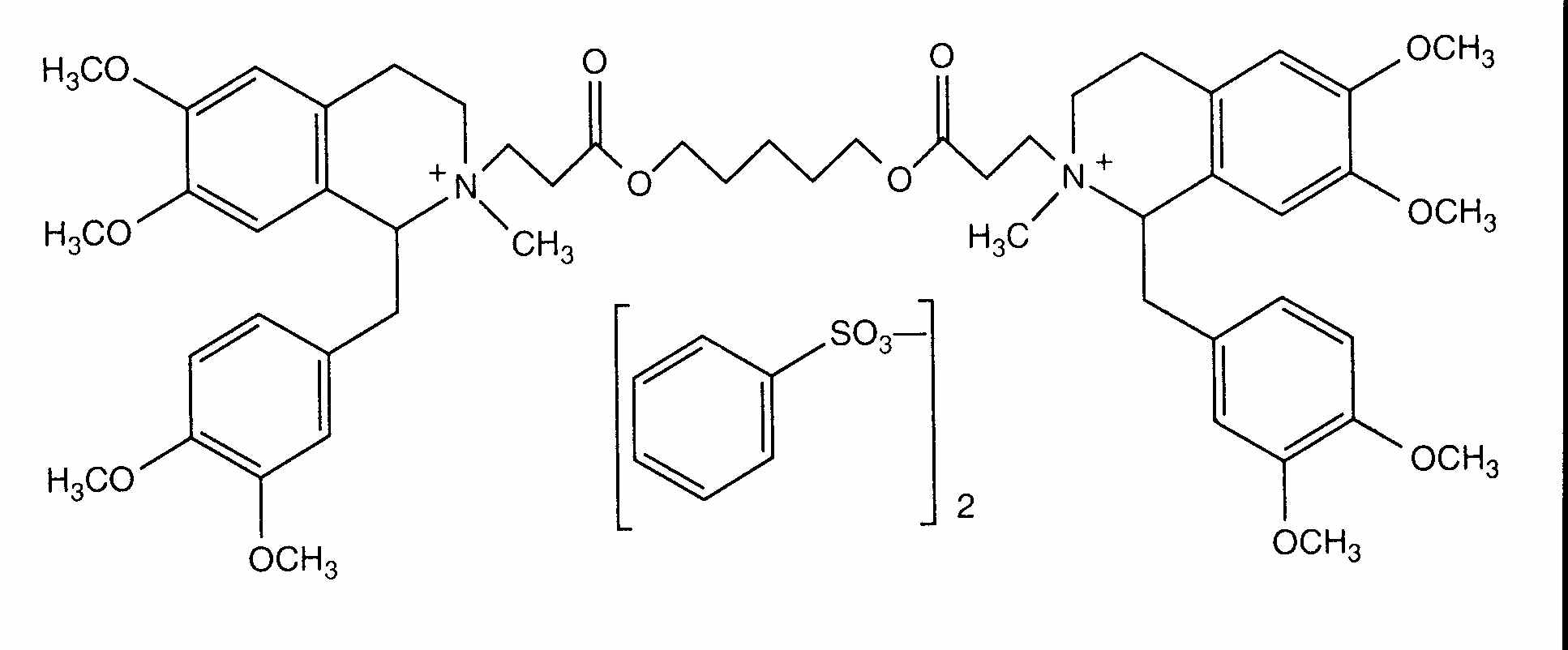
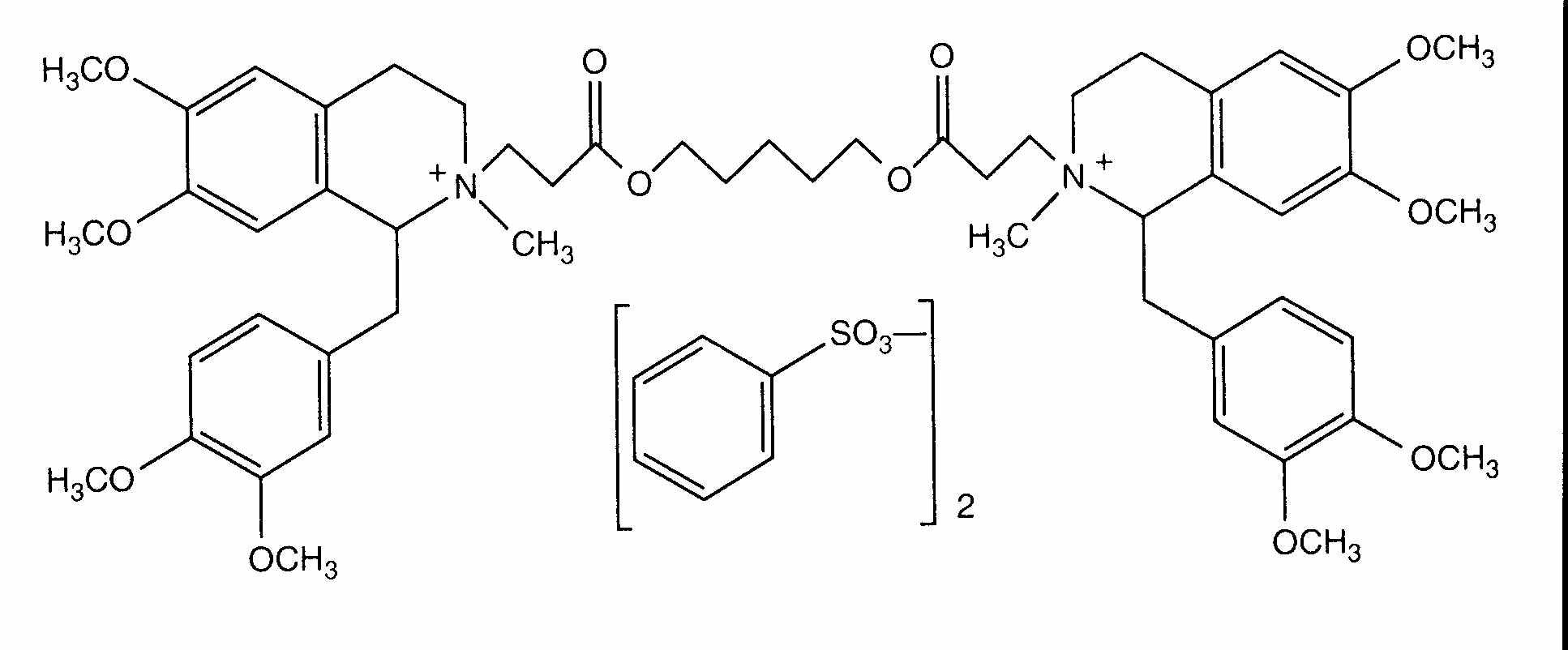
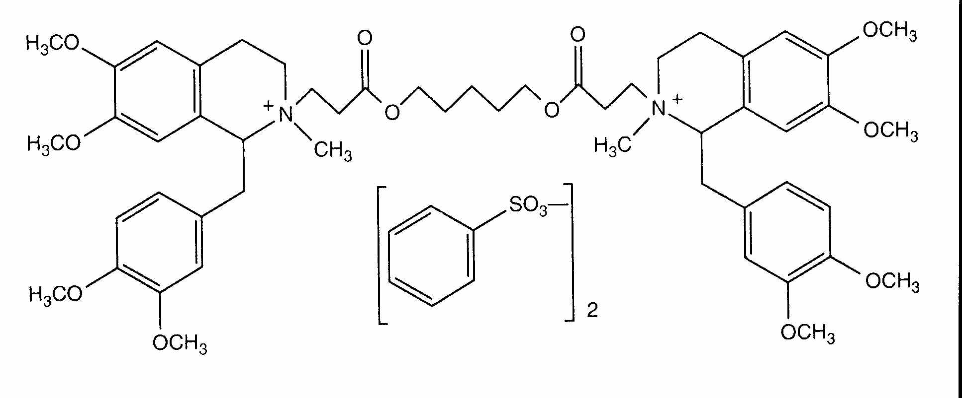
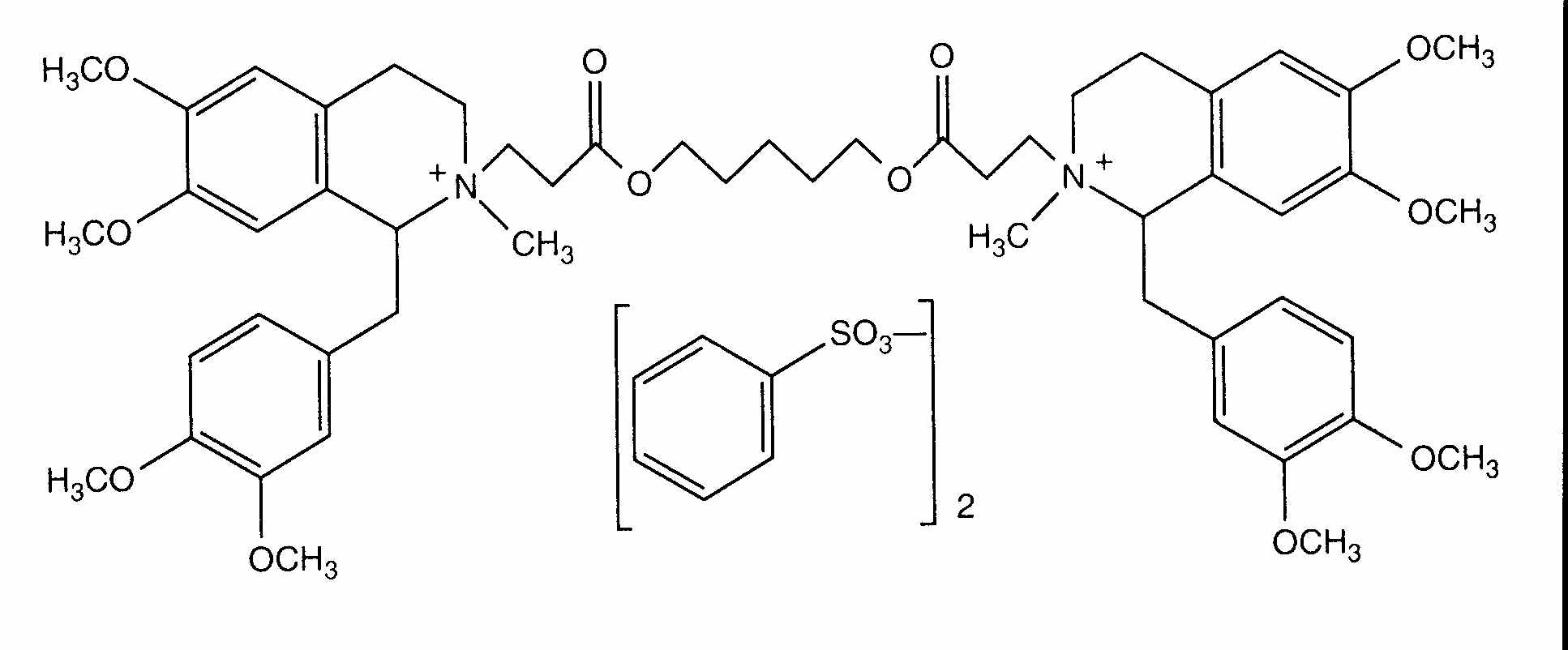
   Struttura chimica  

Nome commerciale   Nome commerciale     

Trade names are indicative and excipients composition can be different depending on the country and manufacturers

Abbocurium Polonia
Acurmil Italia
Ancour Iran
Anecur Iran
Atacur Arabia Saudita
Atrabesylate Egitto
Atracurio Argentina, Brasile, Spagna
Atracurio besilato Chile, Italia, Perù, Venezuela
Atracurium Arabia Saudita, Argentina, Austria, Egitto, Emirati Arabi Uniti, Germania, Gran Bretagna, Iran, Italia, Malaysia, Svezia
Atracurium besilat Austria
Atracurium besilate Arabia Saudita, Australia, Canada, Egitto, Emirati Arabi Uniti, Iran, nuova Zelanda, Stati Uniti d’America
Atralex Malaysia
Atrasyl Turchia
Besilato Atracurio Chile, Portogallo, Spagna
Faulcurium Egitto, Portogallo
Gelolagar Argentina
Laurak Spagna
Neucurium Turchia
Notrixum Turchia
Relactrac Colombia
Relatrac Messico
Tracrium Arabia Saudita, Austria, Belgio, Chile, Colombia, Ecuador, Egitto, Emirati Arabi Uniti, Francia, Germania, Gran Bretagna, Grecia, Iran, Irlanda, Italia, Lussemburgo, Malaysia, Marocco, Messico, nuova Zelanda, Paesi Bassi, Polonia, Portogallo, Romania, Slovenia, Spagna, Stati Uniti d’America, Svizzera, Turchia, Ungheria
Tracumek Perù
Tracurix Argentina
Tracuron Argentina
Stabilità in soluzione   Iniezione   Stabilità in soluzione : Atracurium besylate     
contenitore Solvente Concentrazione Temperatura Conservazione Durata della stabilità Bibliografia
siringa polipropilene Cloruro di sodio 0,9% 0,5 >> 5 mg/ml < 30°C Al riparo dalla luce
24 Ora
3676
Dati di stabilità del produttore

siringa polipropilene Glucosio 5% 0,5 >> 5 mg/ml < 30°C Al riparo dalla luce
24 Ora
3676
Dati di stabilità del produttore

siringa polipropilene Nessuno 10 mg/ml 25°C Non precisata
42 Giorno
657
Livello di evidenza D

siringa polipropilene Nessuno 10 mg/ml 40°C Non precisata
7 Giorno
657
Livello di evidenza D

siringa polipropilene Nessuno 10 mg/ml 5°C Al riparo dalla luce
42 Giorno
657
Livello di evidenza D


  Mentions Légales