Letztes “update” :
27/01/2026
Durch Curarin narkotisierend   Atracurium besylate  
Injektion
Stabilität der Lösung Gemengestabilität Stabilitätbeeinflussende Faktoren Kompatibilitäten Applikationsart Literaturverzeichnis pdf
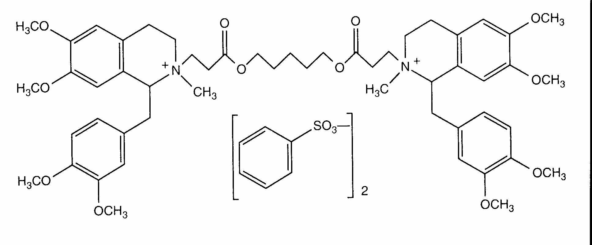
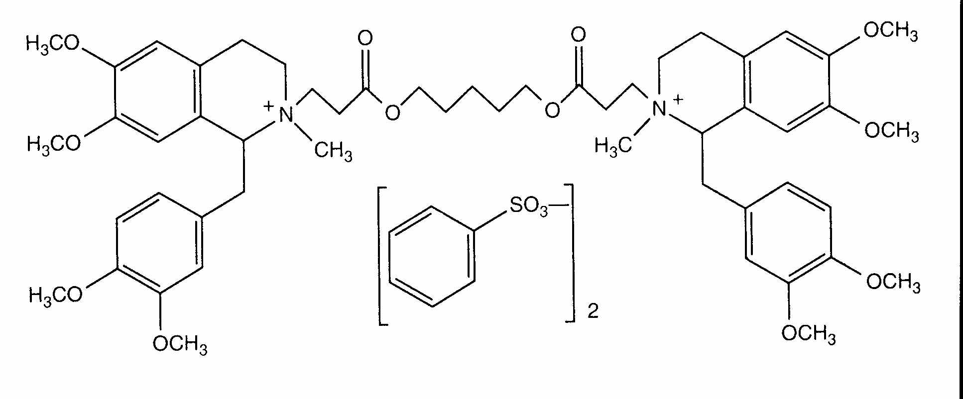
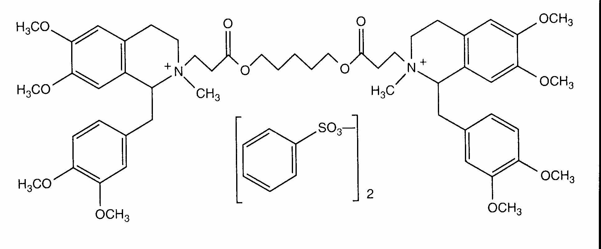
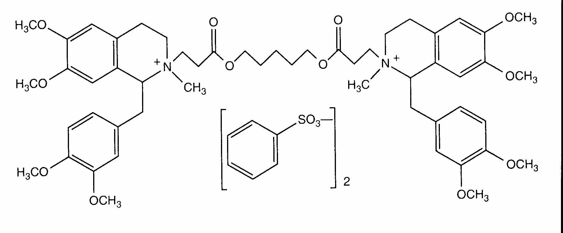
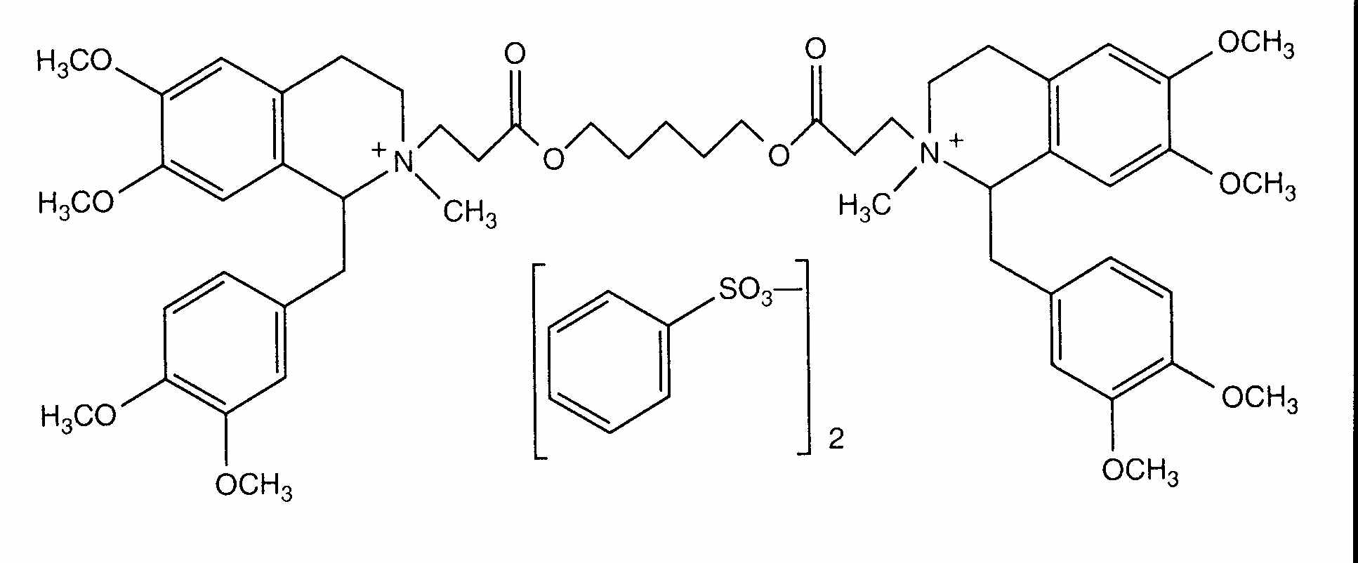
   Chemische Struktur  

Handelsmarke   Handelsmarke     

Handelsnamen sind als beispielhaft anzusehen. Sonstige Bestandteile können je nach Hersteller oder Land verschieden sein

Abbocurium Polen
Acurmil Italien
Ancour Iran
Anecur Iran
Atacur Saudi-Arabien
Atrabesylate Ägypten
Atracurio Argentinien, Brasilien, Spanien
Atracurio besilato Chile, Italien, Peru, Venezuela
Atracurium Ägypten, Argentinien, Deutschland, Großbritannien, Iran, Italien, Malaysia, Österreich, Saudi-Arabien, Schweden, Vereinigte Arabische Emirate
Atracurium besilat Österreich
Atracurium besilate Ägypten, Australien, Iran, Kanada, Neuseeland, Saudi-Arabien, Vereinigte Arabische Emirate, Vereinigte Staaten von Amerika
Atralex Malaysia
Atrasyl Türkei
Besilato Atracurio Chile, Portugal, Spanien
Faulcurium Ägypten, Portugal
Gelolagar Argentinien
Laurak Spanien
Neucurium Türkei
Notrixum Türkei
Relactrac Kolumbien
Relatrac Mexiko
Tracrium Ägypten, Belgien, Chile, Deutschland, Ecuador, Frankreich, Griechenland, Großbritannien, Iran, Irland, Italien, Kolumbien, Luxemburg, Malaysia, Marokko, Mexiko, Neuseeland, Niederlande, Österreich, Polen, Portugal, Rumänien, Saudi-Arabien, Schweiz, Slowenien, Spanien, Türkei, Ungarn, Vereinigte Arabische Emirate, Vereinigte Staaten von Amerika
Tracumek Peru
Tracurix Argentinien
Tracuron Argentinien
Stabilität der Lösung   Injektion   Stabilität der Lösung : Atracurium besylate     
Behälter Lösungsmittel Konzentration Temperatur Konservierung Dauer der Stabilität Literaturverzeichnis
 Spritze Polypropylen 0,9% Natriumchlorid 0,5 >> 5 mg/ml < 30°C Ohne Licht
24 Stunde
3676
Stabilitätsdaten des Herstellers

 Spritze Polypropylen 5% Glucose 0,5 >> 5 mg/ml < 30°C Ohne Licht
24 Stunde
3676
Stabilitätsdaten des Herstellers

 Spritze Polypropylen Kein 10 mg/ml 25°C Nicht genau angegeben
42 Tag
657
Evidenzgrad D

 Spritze Polypropylen Kein 10 mg/ml 40°C Nicht genau angegeben
7 Tag
657
Evidenzgrad D

 Spritze Polypropylen Kein 10 mg/ml 5°C Ohne Licht
42 Tag
657
Evidenzgrad D


  Mentions Légales