Last update :
27/01/2026
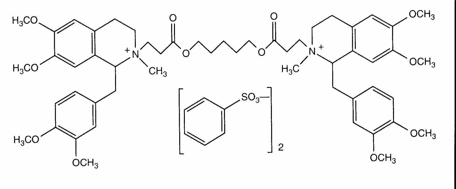
Curarimimetic   Atracurium besylate  
injection
Stability in solutions Stability of mixtures Factors which affect stability Compatibility Route of administration References pdf
   Chemical structure  

Tradename   Tradename     

Trade names are indicative and excipients composition can be different depending on the country and manufacturers

Abbocurium Poland
Acurmil Italy
Ancour Iran
Anecur Iran
Atacur Saudi Arabia
Atrabesylate Egypt
Atracurio Argentina, Brazil, Spain
Atracurio besilato Chile, Italy, Peru, Venezuela
Atracurium Argentina, Austria, Egypt, Germany, Great Britain, Iran, Italy, Malaysia, Saudi Arabia, Sweden, United Arab Emirates
Atracurium besilat Austria
Atracurium besilate Australia, Canada, Egypt, Iran, New Zealand, Saudi Arabia, United Arab Emirates, United States of America
Atralex Malaysia
Atrasyl Turkey
Besilato Atracurio Chile, Portugal, Spain
Faulcurium Egypt, Portugal
Gelolagar Argentina
Laurak Spain
Neucurium Turkey
Notrixum Turkey
Relactrac Colombia
Relatrac Mexico
Tracrium Austria, Belgium, Chile, Colombia, Ecuador, Egypt, France, Germany, Great Britain, Greece, Hungary, Iran, Ireland, Italy, Luxembourg, Malaysia, Mexico, Morocco, Netherlands, New Zealand, Poland, Portugal, Romania, Saudi Arabia, Slovenia, Spain, Switzerland, Turkey, United Arab Emirates, United States of America
Tracumek Peru
Tracurix Argentina
Tracuron Argentina
Stability in solutions   injection   Stability in solutions : Atracurium besylate     
Container Solvent Concentration Temperature Storage Duration of stability References
Polypropylen Syringe Sodium chloride 0,9% 0,5 >> 5 mg/ml < 30°C Protect from light
24 Hour
3676
Manufacturer's stability data

Polypropylen Syringe Glucose 5% 0,5 >> 5 mg/ml < 30°C Protect from light
24 Hour
3676
Manufacturer's stability data

Polypropylen Syringe None 10 mg/ml 25°C Not specified
42 Day
657
Level of evidence D

Polypropylen Syringe None 10 mg/ml 40°C Not specified
7 Day
657
Level of evidence D

Polypropylen Syringe None 10 mg/ml 5°C Protect from light
42 Day
657
Level of evidence D


  Mentions Légales