Poslední aktualizace :
27/01/2026
Kuraremimetický   Atracurium besylate  
injekce
Stabilita roztoků Stabilita směsí Faktory ovlivňující stabilitu Kompatibilita Způsoby aplikace Odkazy pdf
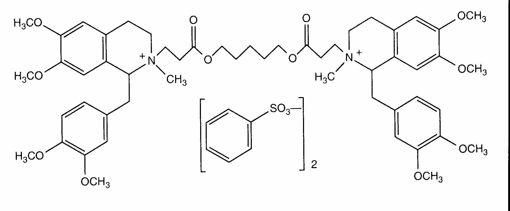
   Chemický vzorec  

Obchodní název   Obchodní název     

Trade names are indicative and excipients composition can be different depending on the country and manufacturers

Abbocurium Polsko
Acurmil Itálie
Ancour Írán
Anecur Írán
Atacur Saúdská Arábie
Atrabesylate Egypt
Atracurio äpanÏlsko, Argentina, BrazÌlie
Atracurio besilato Chile, Itálie, Peru, Venezuela
Atracurium Argentina, Egypt, Írán, Itálie, Malajsie, NÏmecko, Rakousko, Saúdská Arábie, Spojené arabské emiráty, Švédsko, Velká Británie
Atracurium besilat Rakousko
Atracurium besilate Austrálie, Egypt, Írán, Kanada, nový Zéland, Saúdská Arábie, Spojené arabské emiráty, USA
Atralex Malajsie
Atrasyl Turecko
Besilato Atracurio äpanÏlsko, Chile, Portugalsko
Faulcurium Egypt, Portugalsko
Gelolagar Argentina
Laurak äpanÏlsko
Neucurium Turecko
Notrixum Turecko
Relactrac Kolumbie
Relatrac Mexiko
Tracrium äpanÏlsko, Belgie, Chile, Egypt, Ekvádor, Francie, Írán, Irsko, Itálie, Kolumbie, Lucembursko, Malajsie, MaÔarsko, Maroko, Mexiko, NÏmecko, Nizozemsko, nový Zéland, Polsko, Portugalsko, Rakousko, Rumunsko, Saúdská Arábie, Slovinsko, Spojené arabské emiráty, Švýcarsko, Turecko, USA, Velká Británie, ÿecko
Tracumek Peru
Tracurix Argentina
Tracuron Argentina
Stabilita roztoků   injekce   Stabilita roztoků : Atracurium besylate     
Obal RozpouötÏdlo Koncentrace Teplota Uchovávání Trvání stability Odkazy
stříkačka polypropylen Chlorid sodný 0,9% 0,5 >> 5 mg/ml < 30°C Chráněno před světlem
24 Hodina
3676
Údaje o stabilitě od výrobce

stříkačka polypropylen GlukÛza 5% 0,5 >> 5 mg/ml < 30°C Chráněno před světlem
24 Hodina
3676
Údaje o stabilitě od výrobce

stříkačka polypropylen Žádné 10 mg/ml 25°C Nespecifikováno
42 Den
657
Úroveň zkoušky D

stříkačka polypropylen Žádné 10 mg/ml 40°C Nespecifikováno
7 Den
657
Úroveň zkoušky D

stříkačka polypropylen Žádné 10 mg/ml 5°C Chráněno před světlem
42 Den
657
Úroveň zkoušky D


  Mentions Légales