Останнє оновлення :
27/01/2026
Цукрознижувальний   Sitagliptine phosphate  
Розчин для перорального застосування
Стабільність фармацевтичних препаратів Стійкість сумішей Фактори, що впливають на стабільність Сумісність Список літератури pdf
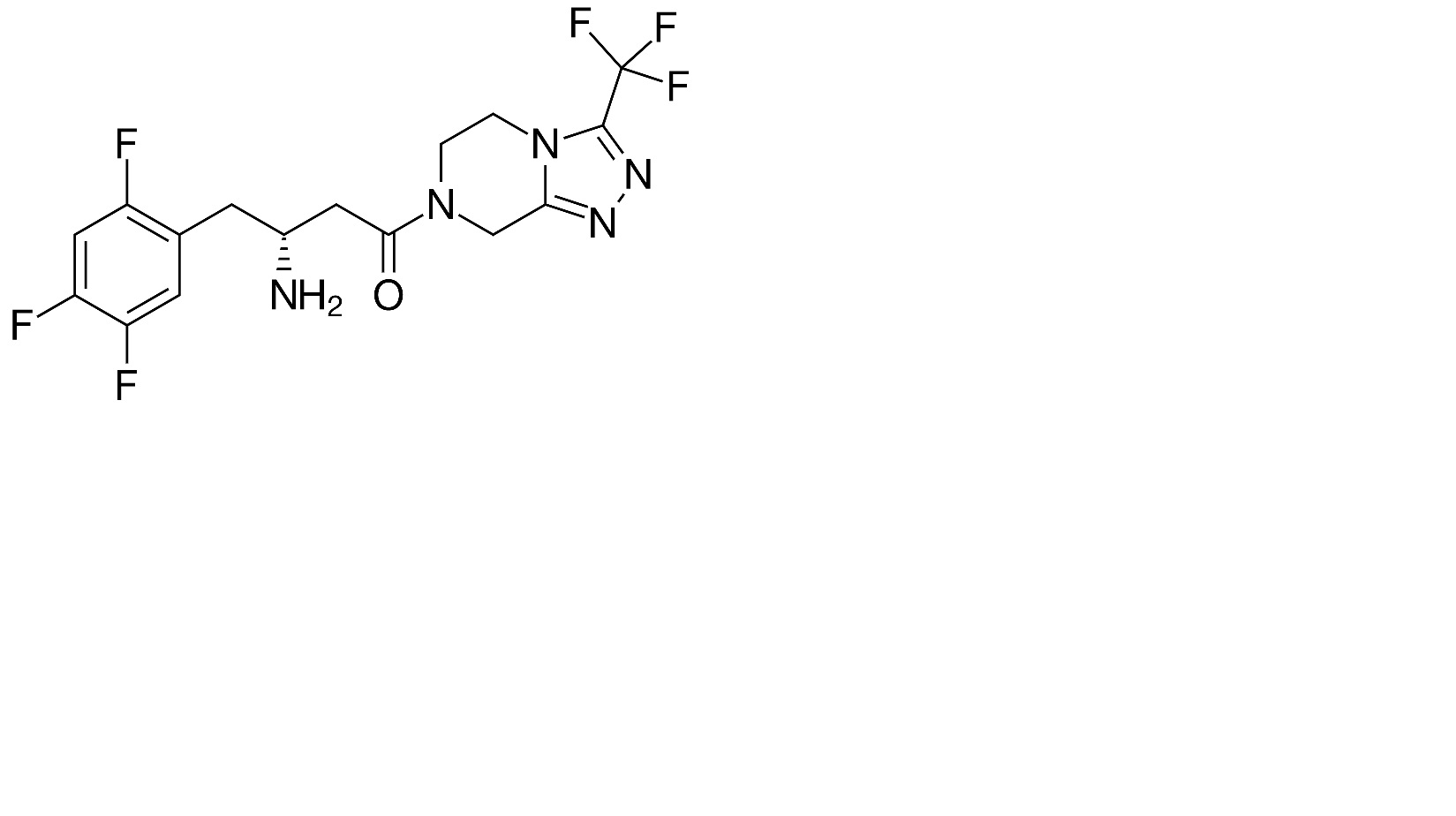
   Хімічна структура  

Розчин для перорального застосування
Стабільність фармацевтичних препаратів   Розчин для перорального застосування   Стабільність фармацевтичних препаратів : Sitagliptine phosphate     
Контейнер Origine допоміжна речовина температура Зберігання Тривалість стабільності Список літератури
пластикова пляшка powder 1 g
® = ?
сорбіт 21,9 mL
маніт 2,2 g
смак полуниці 625 mg
Очищена вода >> 100 mL
22-28°C Не визначено
40 День
4679
пластикова пляшка powder 1 g
® = ?
сорбіт 21,9 mL
маніт 2,2 g
смак полуниці 625 mg
Очищена вода >> 100 mL
40°C Не визначено
40 День
4679

  Mentions Légales