最新更新 :
27/01/2026
血糖降下薬   Sitagliptine phosphate  
経口液
調剤時の安定性 混合時の安定性 安定性に影響する因子 互換性 引用文献 PDF
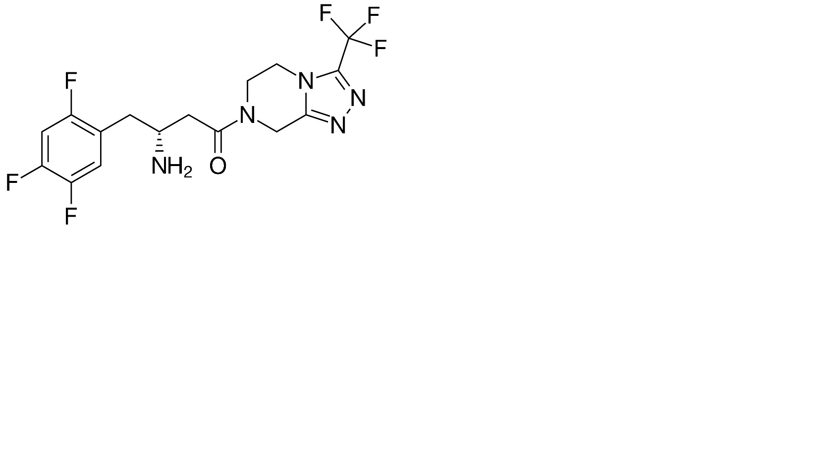
   化学構造  

経口液
調剤時の安定性   経口液   調剤時の安定性 : Sitagliptine phosphate     
容器 Origine 添加剤 温度 保管 安定期間 引用文献
プラスチックボトル 粉 1 g
® = ?
ソルビトール 21,9 mL
マンニトール 2,2 g
イチゴ味 625 mg
精製水 >> 100 mL
22-28°C 特記なし
40 日
4679
プラスチックボトル 粉 1 g
® = ?
ソルビトール 21,9 mL
マンニトール 2,2 g
イチゴ味 625 mg
精製水 >> 100 mL
40°C 特記なし
40 日
4679

  Mentions Légales