Utolsó frissítés :
27/04/2026
Glükózszint csökkentő   Sitagliptine phosphate  
belsőleges oldat
Stabilitása gyógyszerészeti készítmények A keverékek stabilitása Stabilitást befolyásoló tényezők Kompatibilitás Irodalom pdf
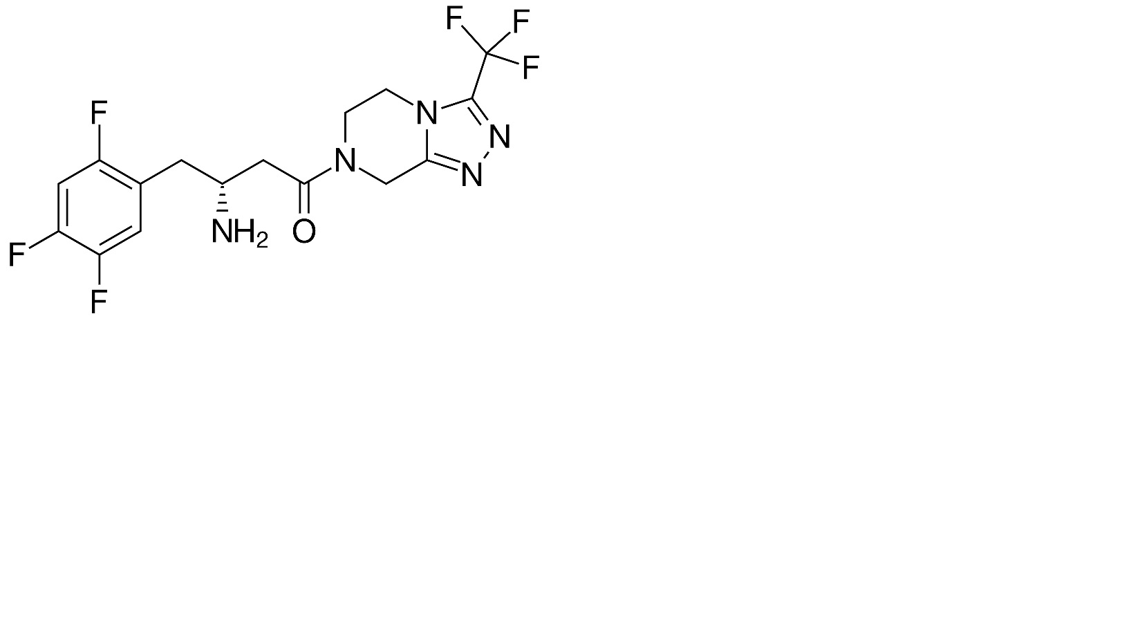
   Kémiai szerkezet   

belsőleges oldat
Stabilitása gyógyszerészeti készítmények   belsőleges oldat   Stabilitása gyógyszerészeti készítmények : Sitagliptine phosphate     
Csomagolás Origine segédanyag Hőmérséklet Tárolás A stabilitás időtartama Irodalom
műanyag flakon por 1 g
® = ?
szorbit 21,9 mL
Mannit 2,2 g
eper ízű 625 mg
Tisztított víz >> 100 mL
22-28°C Nincs meghatározva
40 Nap
4679
műanyag flakon por 1 g
® = ?
szorbit 21,9 mL
Mannit 2,2 g
eper ízű 625 mg
Tisztított víz >> 100 mL
40°C Nincs meghatározva
40 Nap
4679

  Mentions Légales