آخر تحديث :
27/04/2026
خافض الجلوكوز   Sitagliptine phosphate  
عن طريق الفم
استقرار المستحضرات الصيدلانية استقرار مخاليط العوامل التي تؤثر على الاستقرار التوافق مراجع pdf
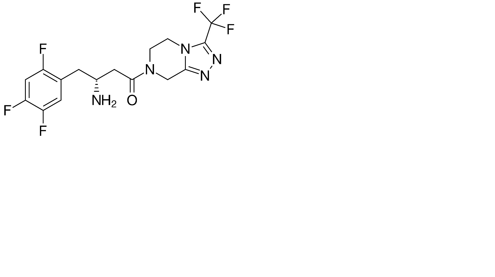
   التركيب الكيميائي  

عن طريق الفم
استقرار المستحضرات الصيدلانية   عن طريق الفم     استقرار المستحضرات الصيدلانية : Sitagliptine phosphate     
حاوية Origine الاضافات درجة الحرارة تخزين مدة الاستقرار مراجع
زجاجة من البلاستيك مسحوق 1 g
® = ?
السوربيتول 21,9 mL
مانيتول 2,2 g
الفراولة نكهة 625 mg
تنقية المياه >> 100 mL
22-28°C لم يتم تحديد
40 يوم
4679
زجاجة من البلاستيك مسحوق 1 g
® = ?
السوربيتول 21,9 mL
مانيتول 2,2 g
الفراولة نكهة 625 mg
تنقية المياه >> 100 mL
40°C لم يتم تحديد
40 يوم
4679

  Mentions Légales