viimane versioon :
27/04/2026
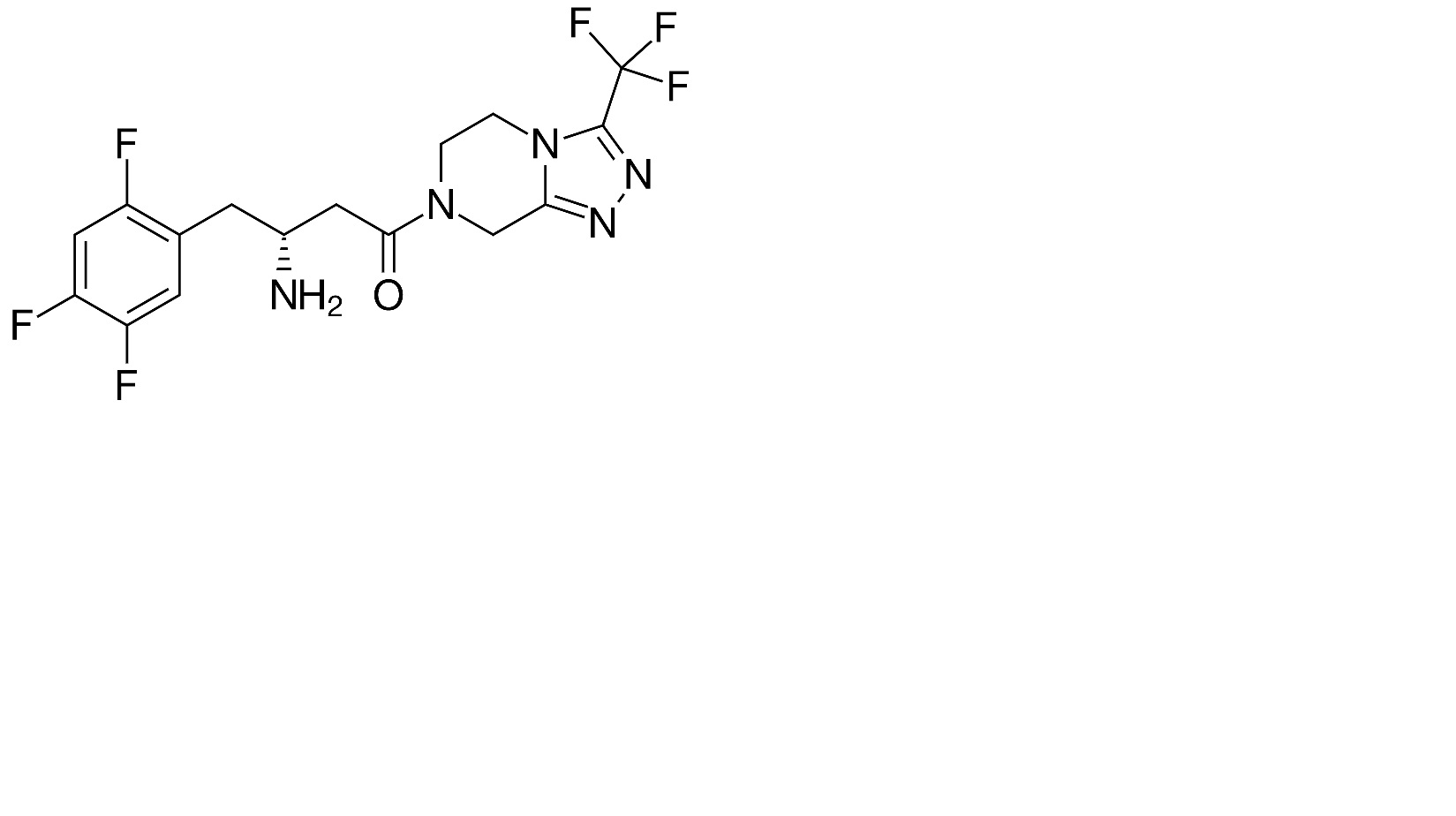
Hüpoglükeemiline ravim   Sitagliptine phosphate  
suukaudne lahus
Stabiilsust ravimpreparaadid Stabiilsust mõjutavad tegurid stabiilsust mõjutavad faktorid Sobimatus Viited pdf
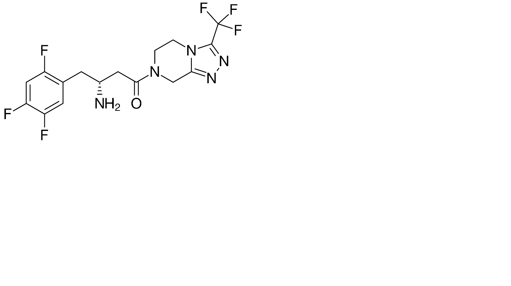
   keemiline struktuur  

suukaudne lahus
Stabiilsust ravimpreparaadid   suukaudne lahus   Stabiilsust ravimpreparaadid : Sitagliptine phosphate     
konteiner Origine  abiaine temperatuur ladustamine Stabiilsuse kestus Viited
Plastikpudel pulber 1 g
® = ?
sorbitool 21,9 mL
Mannitool 2,2 g
Maasikamaitseline 625 mg
Puhastatud vesi >> 100 mL
22-28°C pole täpsustatud
40 päev
4679
Plastikpudel pulber 1 g
® = ?
sorbitool 21,9 mL
Mannitool 2,2 g
Maasikamaitseline 625 mg
Puhastatud vesi >> 100 mL
40°C pole täpsustatud
40 päev
4679

  Mentions Légales