Poslední aktualizace :
05/12/2025
Látka snižující glukózu   Sitagliptine phosphate  
Perorální roztok
Stabilita farmaceutických přípravků Stabilita směsí Faktory ovlivňující stabilitu Kompatibilita Odkazy pdf
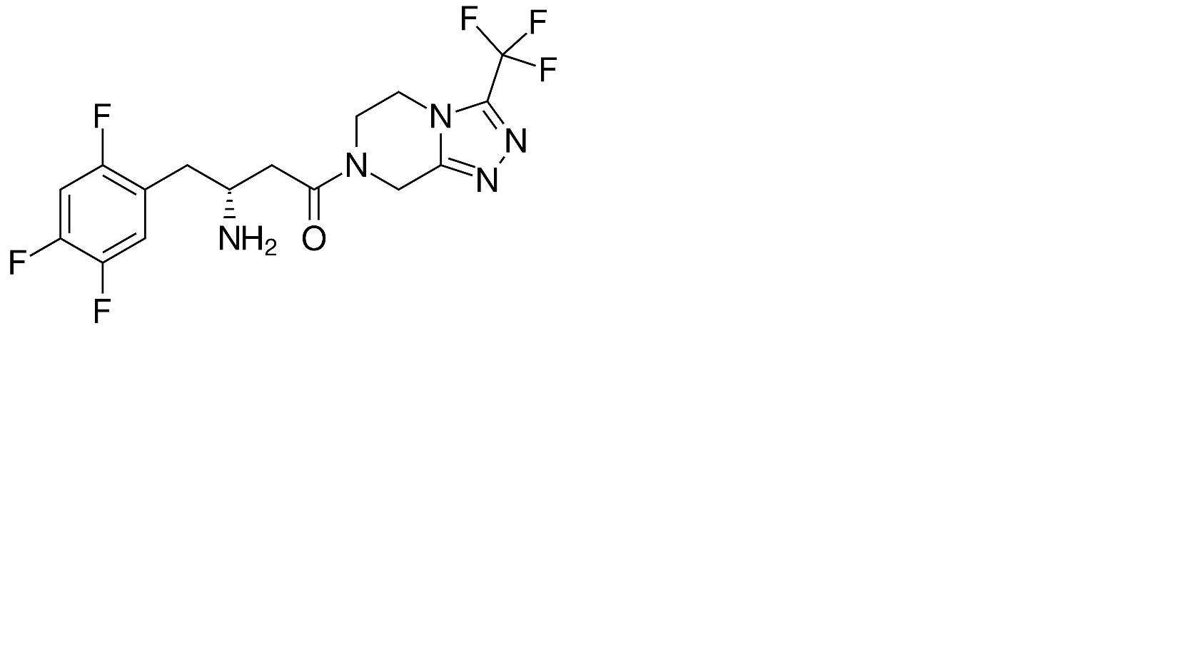
   Chemický vzorec  

Perorální roztok
Stabilita farmaceutických přípravků   Perorální roztok   Stabilita farmaceutických přípravků : Sitagliptine phosphate     
Obal Origine Pomocné látky Teplota Uchovávání Trvání stability Odkazy
plastová láhev prášek 1 g
® = ?
sorbitol 21,9 mL
mannitol 2,2 g
jahodová příchuť 625 mg
Čištěná voda >> 100 mL
22-28°C Nespecifikováno
40 Den
4679
plastová láhev prášek 1 g
® = ?
sorbitol 21,9 mL
mannitol 2,2 g
jahodová příchuť 625 mg
Čištěná voda >> 100 mL
40°C Nespecifikováno
40 Den
4679

  Mentions Légales