Siste oppdatering :
27/01/2026
Glukosesenkende   Sitagliptine phosphate  
Mikstur
Stabilitet av farmasøytiske preparater Stabilitet i blandinger Faktorer som påvirker stabiliteten Kompatibilitet Referanser pdf
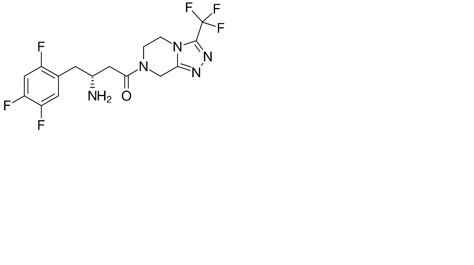
   Kjemisk struktur  

Mikstur
Stabilitet av farmasøytiske preparater   Mikstur   Stabilitet av farmasøytiske preparater : Sitagliptine phosphate     
Beholder Origine Hjelpestoff Temperatur Oppbevaring Varighet av stabilitet Referanser
Plastflaske Pulver 1 g
® = ?
Sorbitol 21,9 mL
Mannitol 2,2 g
Jordbærsmak 625 mg
Renset vann >> 100 mL
22-28°C Ikke angitt
40 Dag
4679
Plastflaske Pulver 1 g
® = ?
Sorbitol 21,9 mL
Mannitol 2,2 g
Jordbærsmak 625 mg
Renset vann >> 100 mL
40°C Ikke angitt
40 Dag
4679

  Mentions Légales