Last update :
27/01/2026
Infostab
List of drugs
Summary lists
Search for compatibilities
Y-site compatibility table
References
Research teams
valistab
Poster
Links
Sponsors
Authors
User’s guide
Newsletter
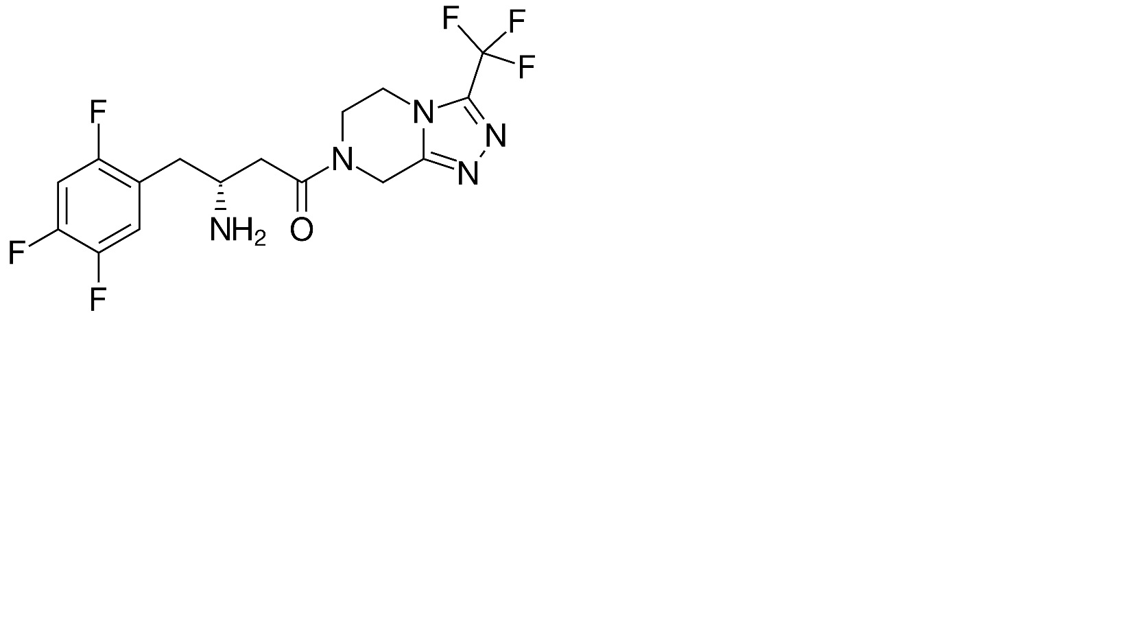
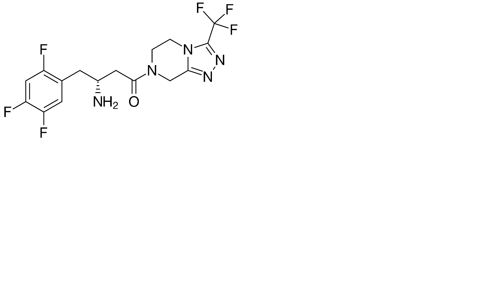
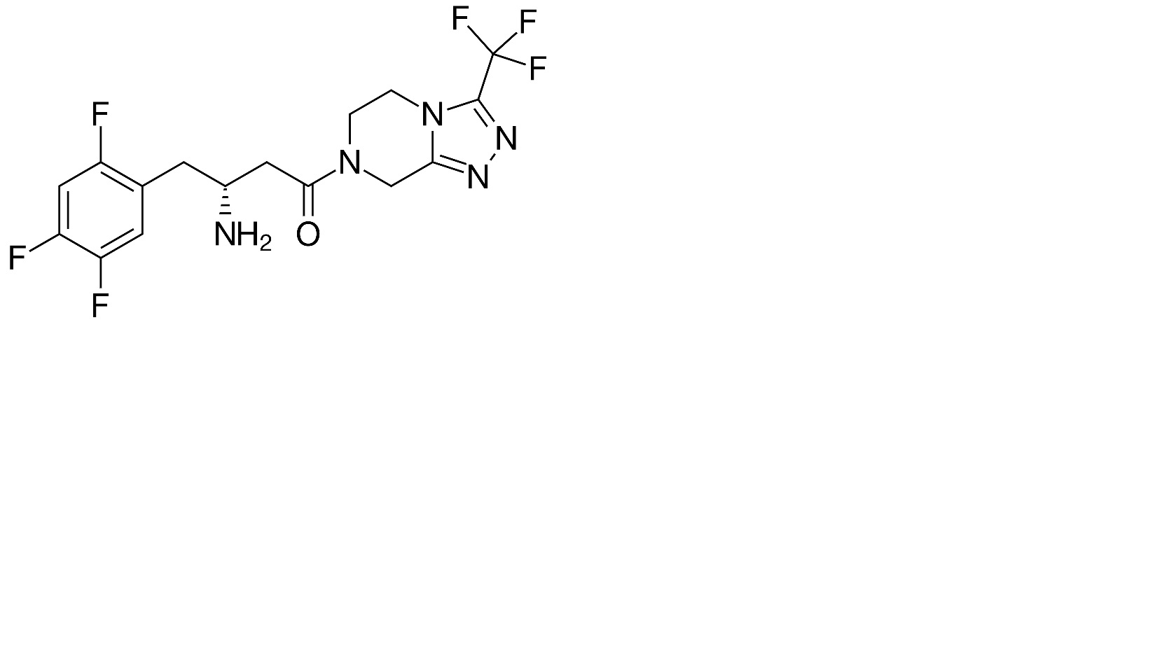
Sitagliptine phosphate
Chemical structure
Stability of pharmaceutical preparations : Sitagliptine phosphate
1 g
® = ?
Sorbitol
21,9 mL
mannitol
2,2 g
strawberry flavor
625 mg
Purified water
>> 100 mL
22-28°C
40
4679
1 g
® = ?
Sorbitol
21,9 mL
mannitol
2,2 g
strawberry flavor
625 mg
Purified water
>> 100 mL
40°C
40
4679
Mentions Légales