Última actualização :
27/04/2026
Antiarrítmico   Propafenone Hydrochloride  
Solução Oral
injetável
Estabilidade de preparações farmacêuticas Estabilidade em misturas Factores que afectam a sua estabilidade Compatibilidade Bibliografía pdf
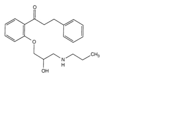
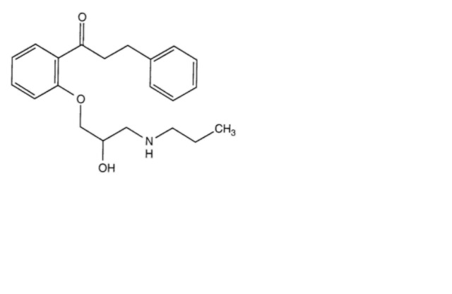
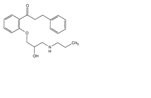
   estrutura química  

Solução Oral
Estabilidade de preparações farmacêuticas   Solução Oral   Estabilidade de preparações farmacêuticas : Propafenone Hydrochloride     
Embalagem Origine excipiente temperatura conservação Duração da estabilidade Bibliografia
frasco de plástico comprimidos 1000 mg
® = Abbott Laboratories
OraPlus® / OraSweet® (1:1) >> 100 mL
2-8°C no especificado
90 dia
4547

frasco de plástico comprimidos 1000 mg
® = Abbott Laboratories
OraPlus® / OraSweet® (1:1) >> 100 mL
22-30°C no especificado
90 dia
4547


  Mentions Légales