Last update :
27/04/2026
Anti-arrhythmic   Propafenone Hydrochloride  
Oral solution
injection
Stability of pharmaceutical preparations Stability of mixtures Factors which affect stability Compatibility References pdf
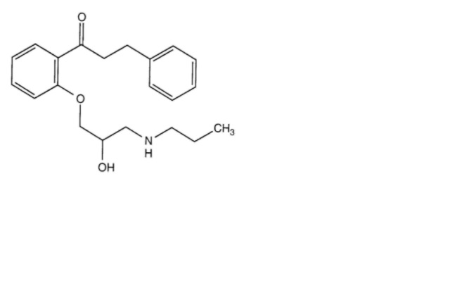
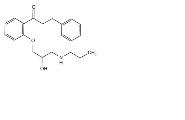
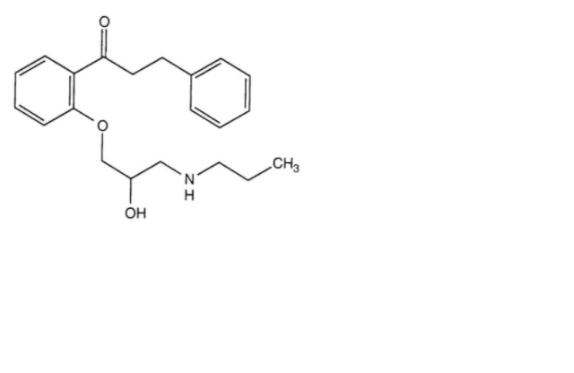
   Chemical structure  

Oral solution
Stability of pharmaceutical preparations   Oral solution   Stability of pharmaceutical preparations : Propafenone Hydrochloride     
Container Origine excipient Temperature Storage Duration of stability References
plastic bottle tablets 1000 mg
® = Abbott Laboratories
OraPlus® / OraSweet® (1:1) >> 100 mL
2-8°C Not specified
90 Day
4547

plastic bottle tablets 1000 mg
® = Abbott Laboratories
OraPlus® / OraSweet® (1:1) >> 100 mL
22-30°C Not specified
90 Day
4547


  Mentions Légales