Zadnji put ažurirano :
27/01/2026
antiritmičan   Propafenone Hydrochloride  
oralna otopina
injekcija
Stabilnost farmaceutskih pripravaka Stabilnost mješavine Stabilizacijski faktor Kompatibilnosti Bibliografija pdf
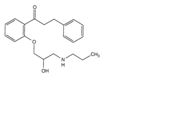
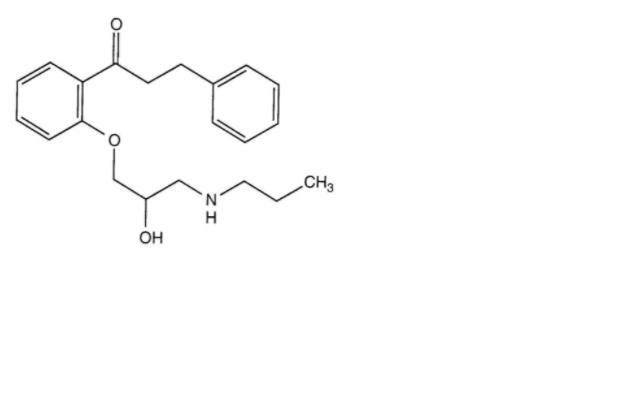
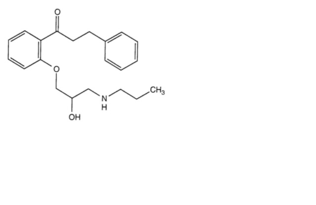
   Kemijska struktura  

oralna otopina
Stabilnost farmaceutskih pripravaka   oralna otopina     Stabilnost farmaceutskih pripravaka : Propafenone Hydrochloride     
Kontejner Origine pomoćna tvar temperatura Konzerviranje Trajanje stabilnosti Bibliografija
plastična boca tablete 1000 mg
® = Abbott Laboratories
OraPlus® / OraSweet® (1:1) >> 100 mL
2-8°C nespecifičan
90 dan
4547

plastična boca tablete 1000 mg
® = Abbott Laboratories
OraPlus® / OraSweet® (1:1) >> 100 mL
22-30°C nespecifičan
90 dan
4547


  Mentions Légales