Poslední aktualizace :
27/01/2026
Antiarytmikum   Propafenone Hydrochloride  
Perorální roztok
injekce
Stabilita farmaceutických přípravků Stabilita směsí Faktory ovlivňující stabilitu Kompatibilita Odkazy pdf
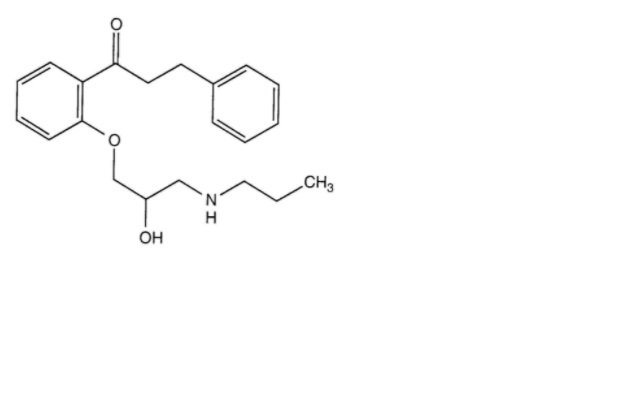
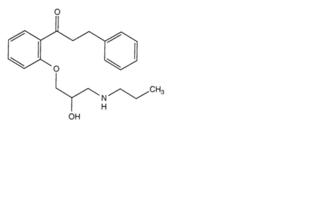
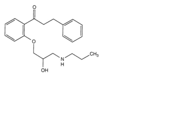
   Chemický vzorec  

Perorální roztok
Stabilita farmaceutických přípravků   Perorální roztok   Stabilita farmaceutických přípravků : Propafenone Hydrochloride     
Obal Origine Pomocné látky Teplota Uchovávání Trvání stability Odkazy
plastová láhev tablety 1000 mg
® = Abbott Laboratories
OraPlus® / OraSweet® (1:1) >> 100 mL
2-8°C Nespecifikováno
90 Den
4547

plastová láhev tablety 1000 mg
® = Abbott Laboratories
OraPlus® / OraSweet® (1:1) >> 100 mL
22-30°C Nespecifikováno
90 Den
4547


  Mentions Légales