Ultimo aggiornamento :
27/04/2026
Antiaritmico   Propafenone Hydrochloride  
Soluzione orale
Iniezione
Stabilità dei preparati farmaceutici Stabilità in miscela Fattori che influenzano la stabilità Compatibilità Bibliografia pdf
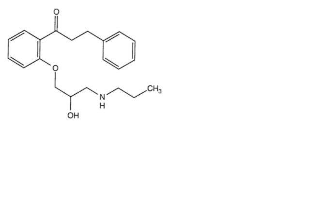
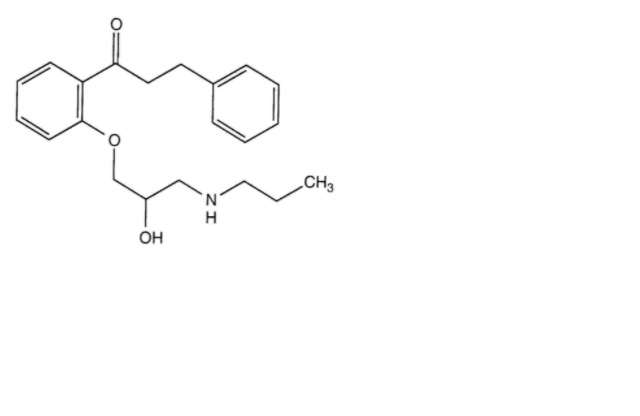
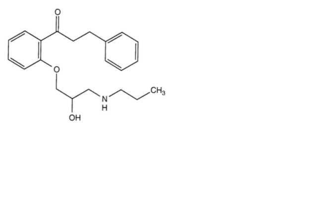
   Struttura chimica  

Soluzione orale
Stabilità dei preparati farmaceutici   Soluzione orale   Stabilità dei preparati farmaceutici : Propafenone Hydrochloride     
contenitore Origine eccipiente Temperatura Conservazione Durata della stabilità Bibliografia
bottiglia di plastica compresse 1000 mg
® = Abbott Laboratories
OraPlus® / OraSweet® (1:1) >> 100 mL
2-8°C Non precisata
90 Giorno
4547

bottiglia di plastica compresse 1000 mg
® = Abbott Laboratories
OraPlus® / OraSweet® (1:1) >> 100 mL
22-30°C Non precisata
90 Giorno
4547


  Mentions Légales