Dernière mise à jour :
05/12/2025
Antiarythmique   Propafenone Hydrochloride  
Solution buvable
injectable
Stabilité des préparations Stabilité en mélange Facteur influençant la stabilité Compatibilités Bibliographie pdf
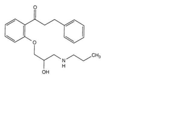
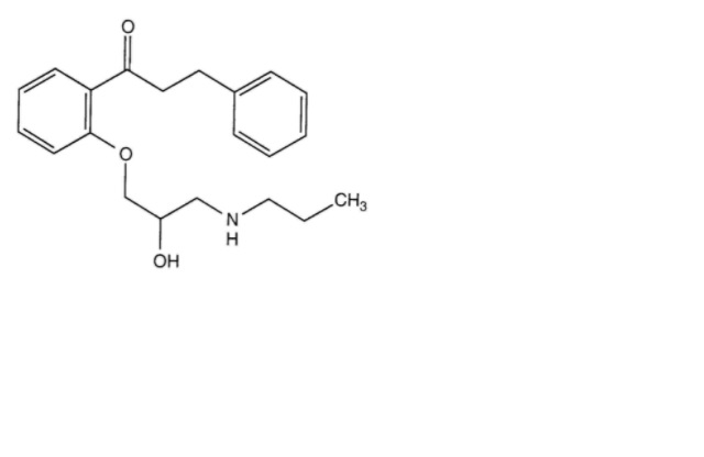
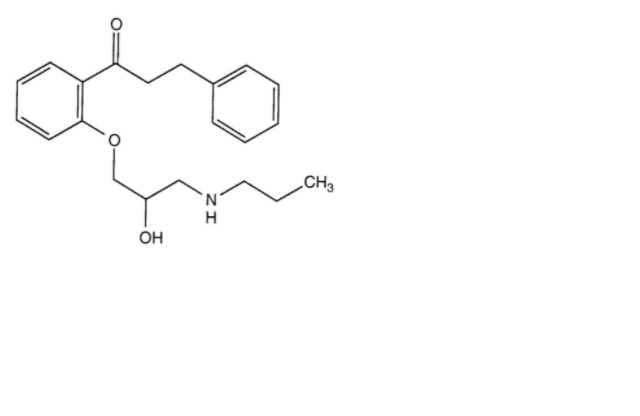
   Structure chimique  

Solution buvable
Stabilité des préparations   Solution buvable   Stabilité des préparations : Propafenone Hydrochloride     
Contenant Origine Excipient Température Conservation Durée de stabilité Bibliographie
Flacon plastique Comprimés 1000 mg
® = Abbott Laboratories
OraPlus® / OraSweet® (1:1) >> 100 mL
2-8°C Non précisée
90 Jour
4547

Flacon plastique Comprimés 1000 mg
® = Abbott Laboratories
OraPlus® / OraSweet® (1:1) >> 100 mL
22-30°C Non précisée
90 Jour
4547


  Mentions Légales