Последно актуализиране :
27/04/2026
Антиаритмик   Propafenone Hydrochloride  
Орален разтвор
Инжекция/Инжекционен
Стабилност на лекарствени препарати Стабилност на смеси Фактори, повлияващи стабилността Съвместимост Библиография Pdf
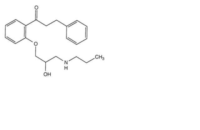
   Химична структура  

Орален разтвор
Стабилност на лекарствени препарати   Орален разтвор   Стабилност на лекарствени препарати : Propafenone Hydrochloride     
Контейнер Origine Помощно вещество Температура Съхранение Продължителност на стабилността Библиография
Пластмасова бутилка таблетки 1000 mg
® = Abbott Laboratories
Ораплюс® / Орасуит® (1:1) >> 100 mL
2-8°C Не е уточнено
90 Ден
4547

Пластмасова бутилка таблетки 1000 mg
® = Abbott Laboratories
Ораплюс® / Орасуит® (1:1) >> 100 mL
22-30°C Не е уточнено
90 Ден
4547


  Mentions Légales