Cập nhật lần cuối :
27/01/2026
Thuốc chống nôn   Prochlorperazine edysilate  
Thuốc nhỏ mũi
Dạng tiêm
Tính ổn định của các chế phẩm Độ ổn định khi trộn lẫn Những yếu tố ảnh hưởng đến độ ổn định Khả năng tương thích Tài liệu tham khảo Pdf
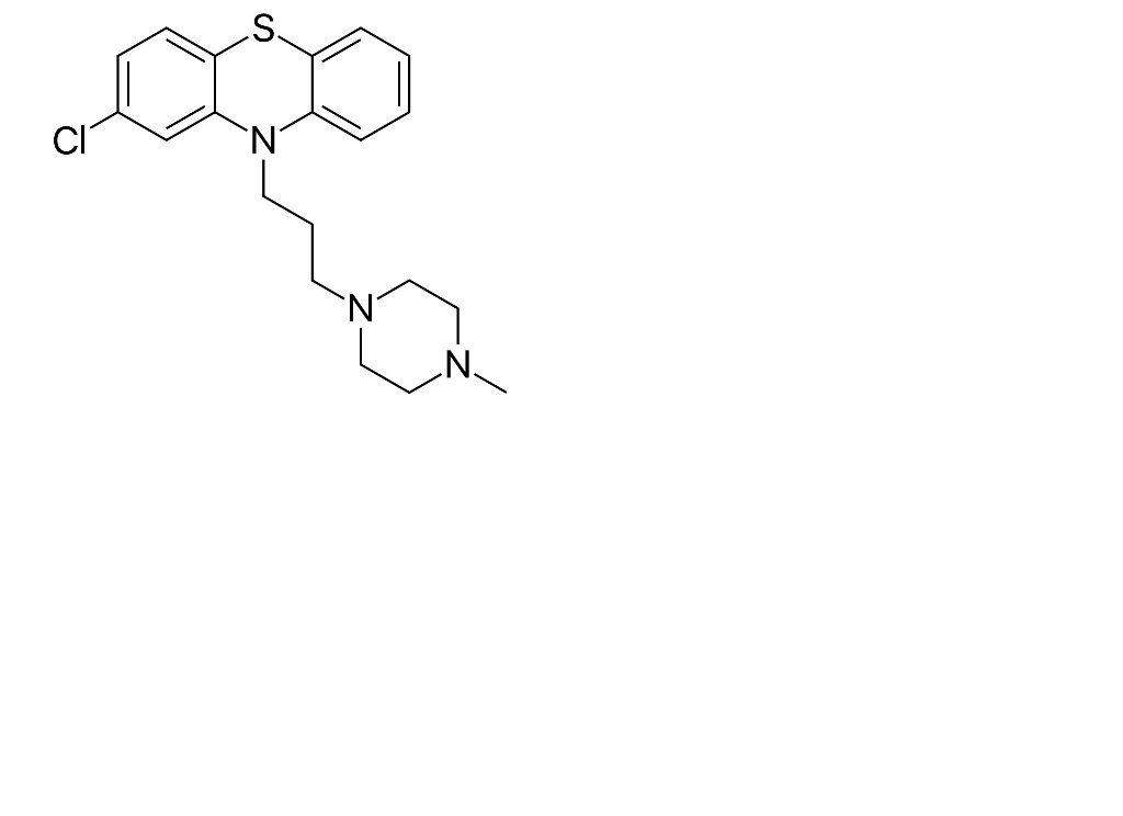
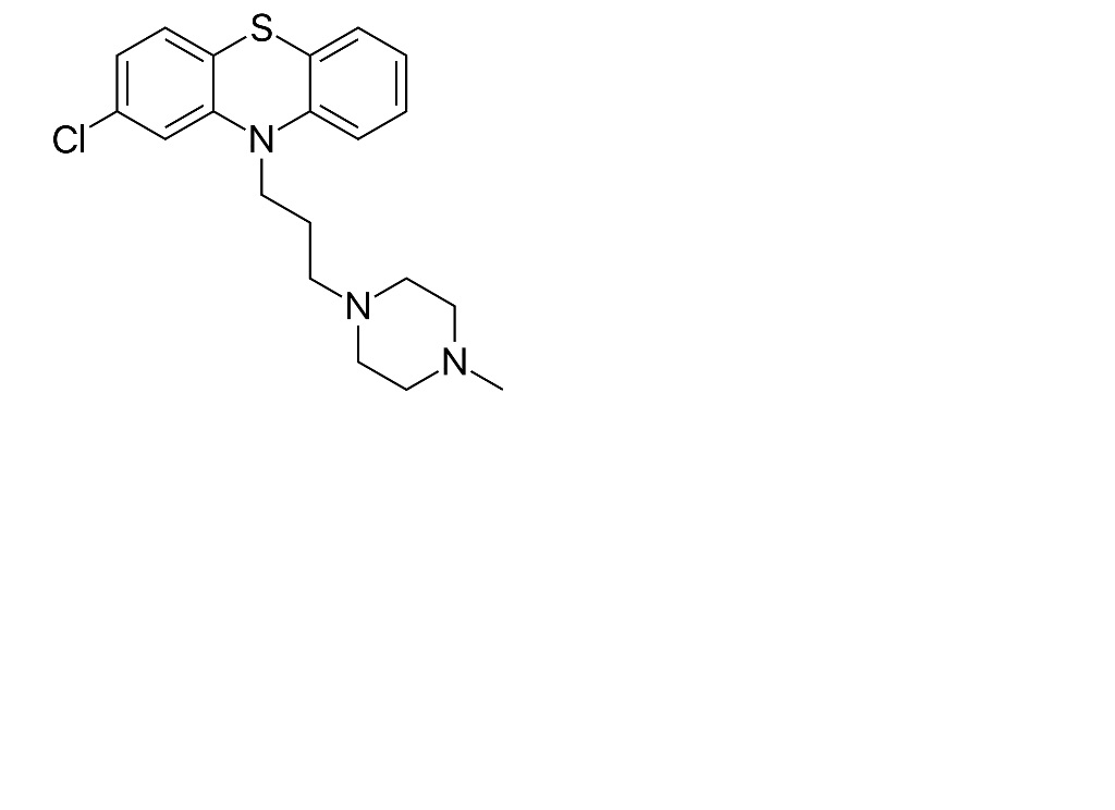
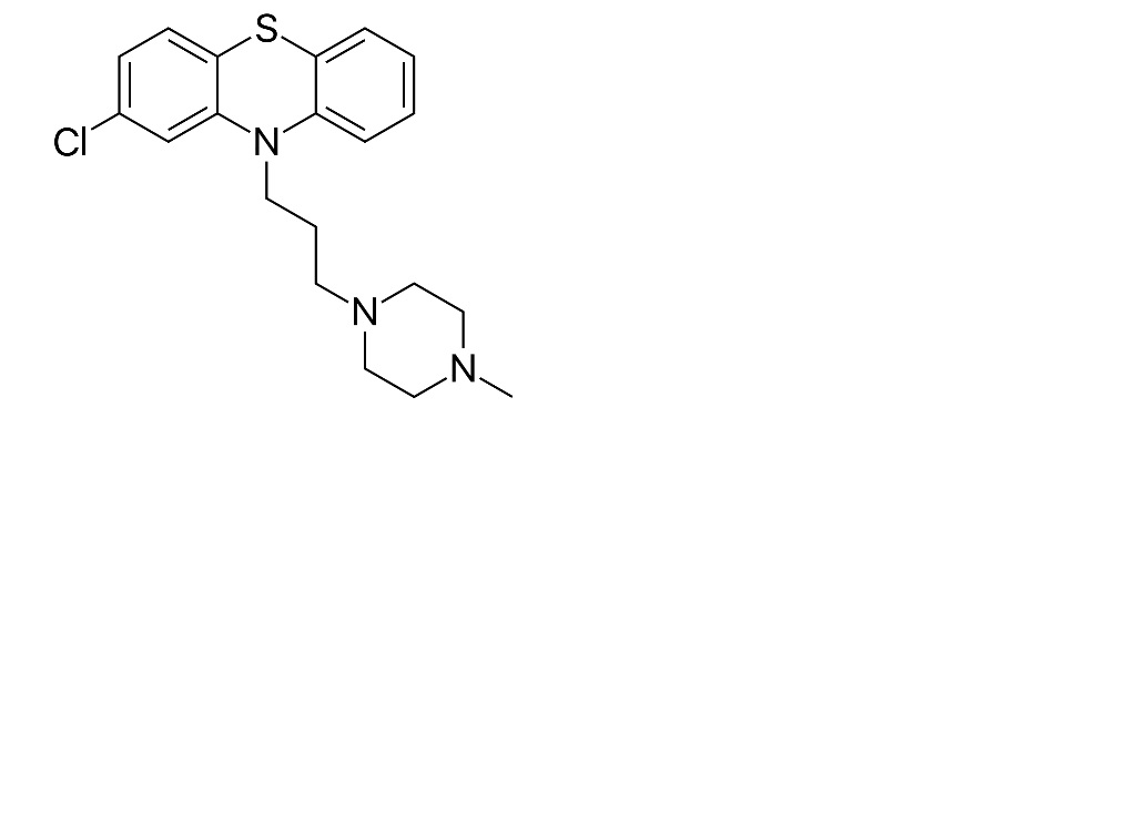
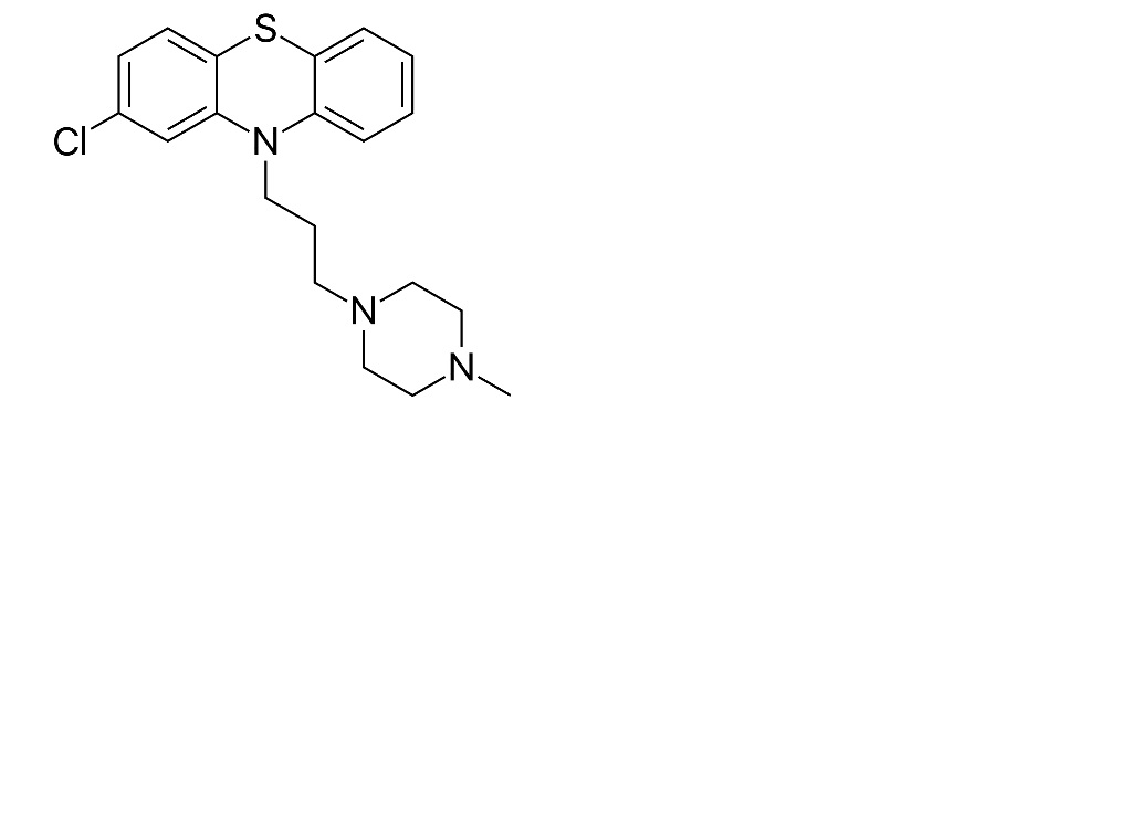
   Cấu trúc hóa học  

Thuốc nhỏ mũi
Tài liệu tham khảo   Thuốc nhỏ mũi   Tài liệu tham khảo : Prochlorperazine edysilate  
Loại Nguồn
4054 Tạp chí Yellepeddi V.
Stability of extemporaneously prepared preservative-free prochlorperazine nasal spray.
Am J Health-Syst Pharm 2018 , 75, 1: 28-35

  Mentions Légales