Posledná aktualizácia :
27/01/2026
antiemetikum   Prochlorperazine edysilate  
Nosová instilácia
Injekcia
Stabilita farmaceutických prípravkov Stabilita v zmesiach Faktory ovplyvňujúce stabilitu Kompatibility Odkazy na literatúru PDF
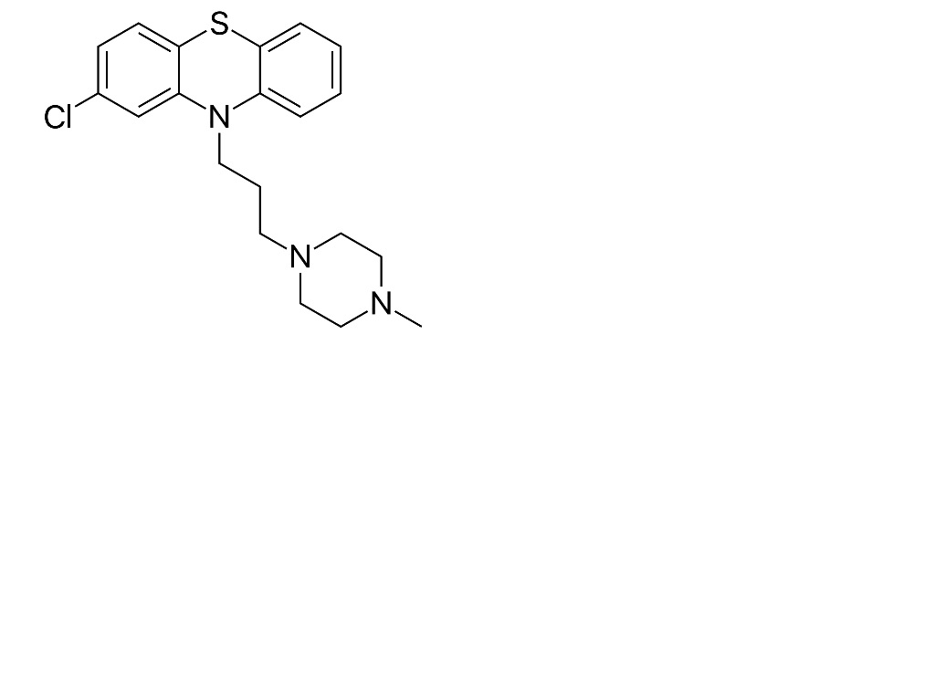
   Chemický vzorec  

Nosová instilácia
Odkazy na literatúru   Nosová instilácia   Odkazy na literatúru : Prochlorperazine edysilate  
Typ Publikácia
4054 Časopis Yellepeddi V.
Stability of extemporaneously prepared preservative-free prochlorperazine nasal spray.
Am J Health-Syst Pharm 2018 , 75, 1: 28-35

  Mentions Légales