Viimeisin päivitys :
27/01/2026
Pahoinvontilääkkeet   Prochlorperazine edysilate  
Nenätipat
Injektioneste
Vakaus lääkevalmisteen Stabilius seoksissa Tekijät, jotka vaikuttavat stabiliuteen Yhteensopivuus Viitteet pdf
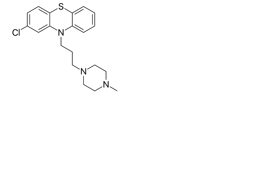
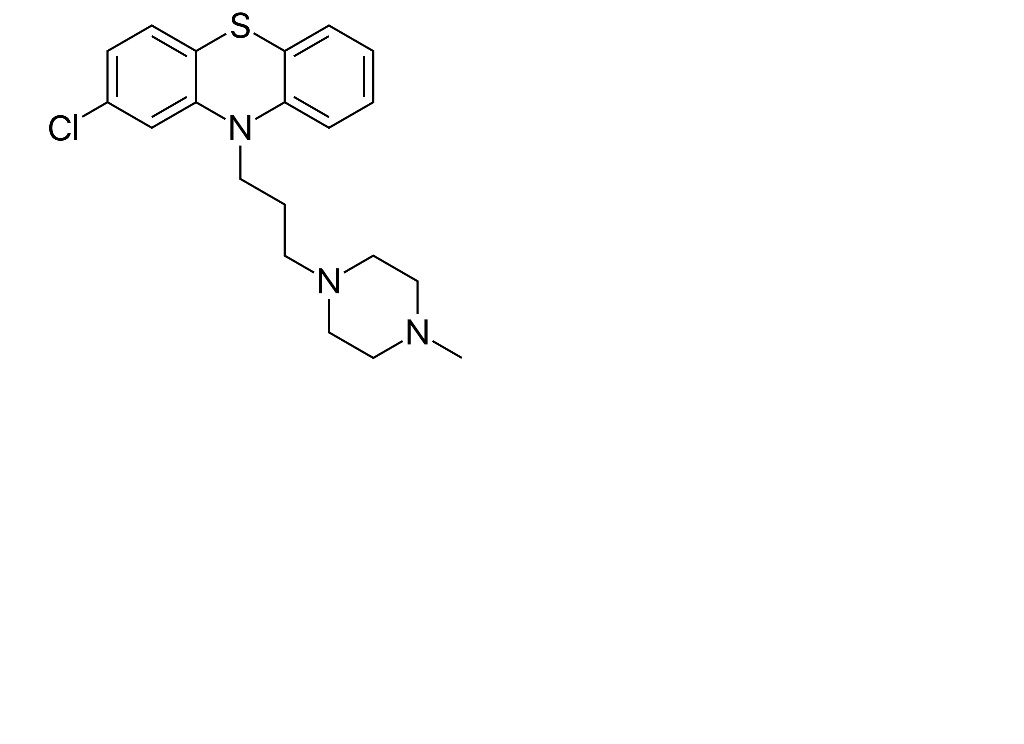
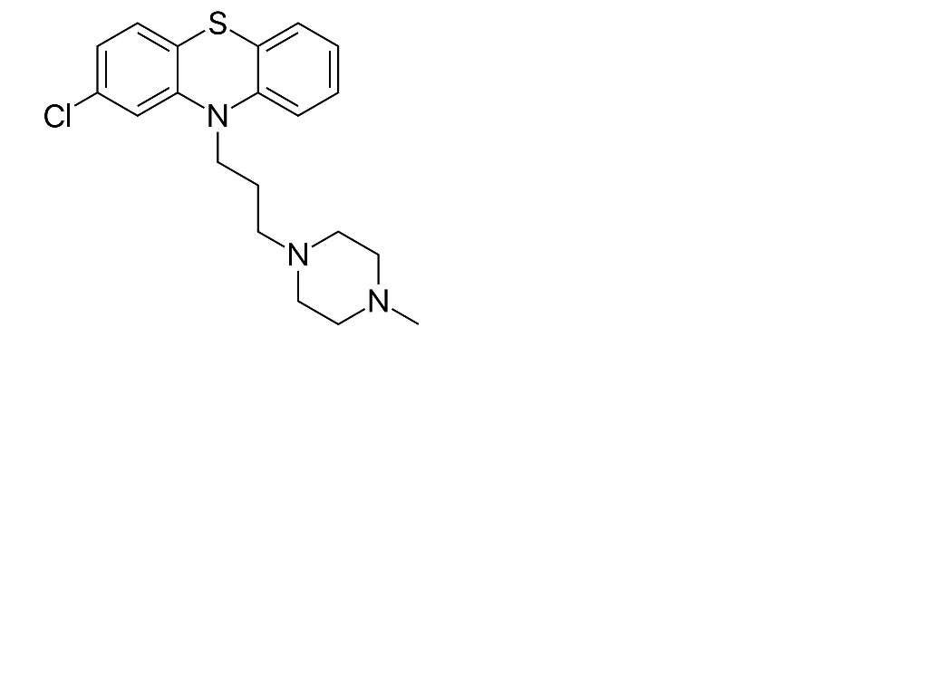
   Kemiallinen rakenne  

Nenätipat
Viitteet   Nenätipat   Viitteet : Prochlorperazine edysilate  
tyyppi julkaisu
4054 Lehti Yellepeddi V.
Stability of extemporaneously prepared preservative-free prochlorperazine nasal spray.
Am J Health-Syst Pharm 2018 , 75, 1: 28-35

  Mentions Légales