Última actualización :
18/03/2026
Antiemético   Prochlorperazine edysilate  
Gotas nasales
Inyectables
La estabilidad de las preparaciones farmacéuticas Estabilidad en mezcla Factores que influyen sobre la estabilidad Compatibilidades Bibliografía pdf
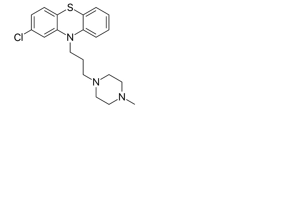
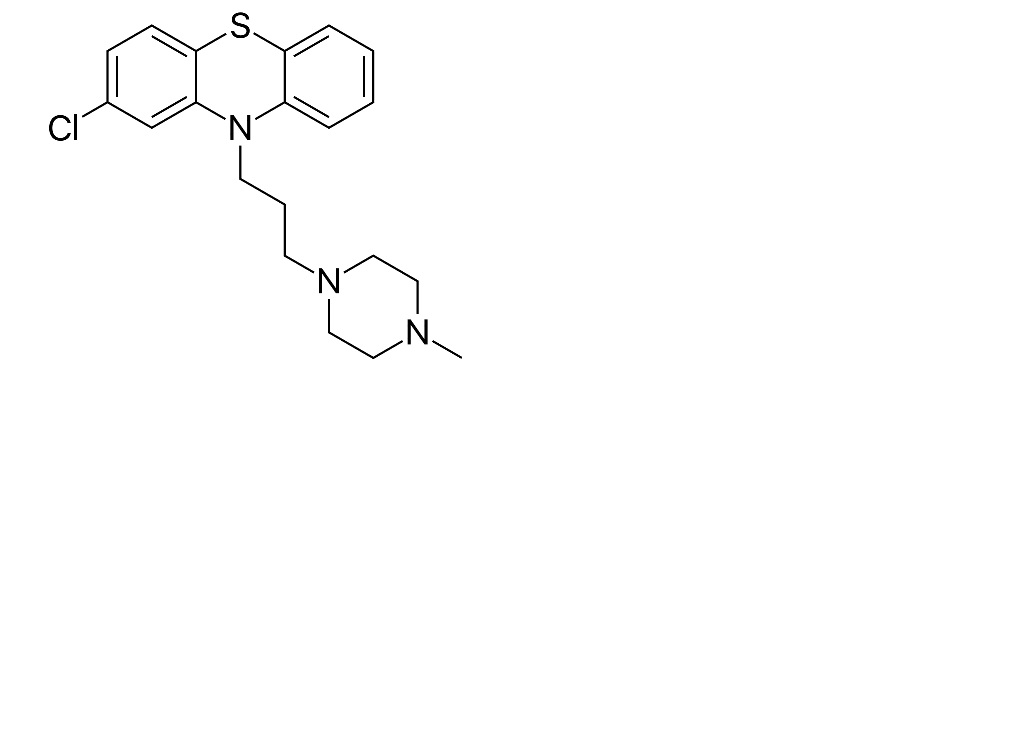
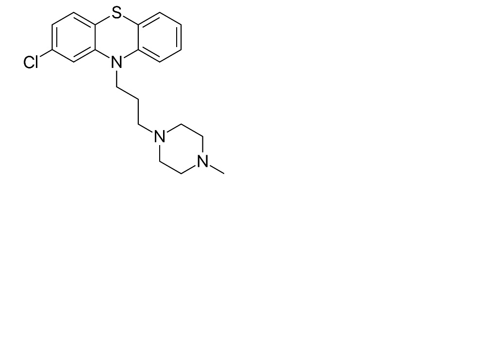
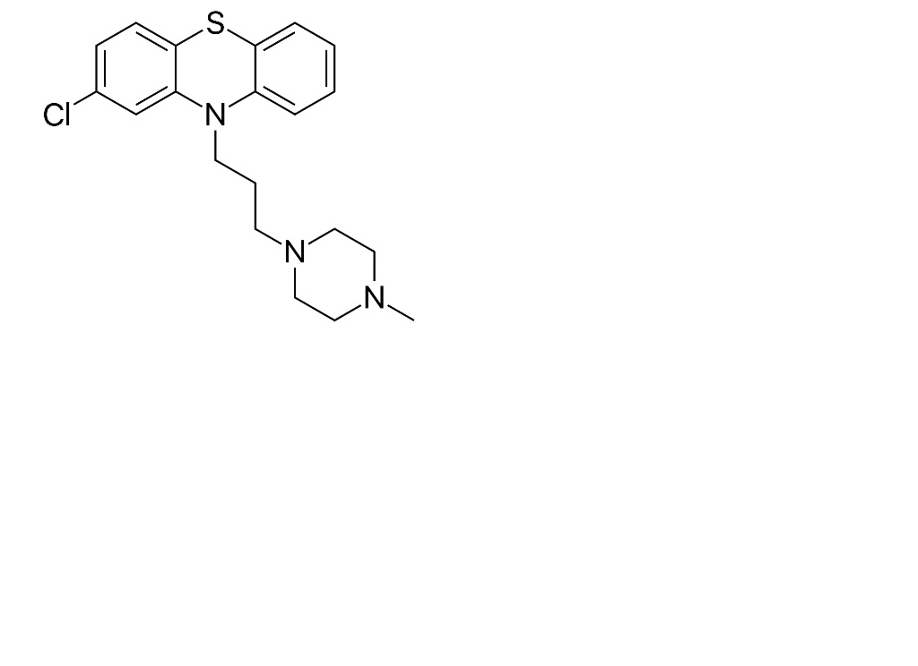
   Estructura química  

Gotas nasales
Bibliografía   Gotas nasales   Bibliografía : Prochlorperazine edysilate  
Tipo Publicación
4054 periódico Yellepeddi V.
Stability of extemporaneously prepared preservative-free prochlorperazine nasal spray.
Am J Health-Syst Pharm 2018 , 75, 1: 28-35

  Mentions Légales