Laatste update :
27/01/2026
Anti-emeticum   Prochlorperazine edysilate  
neusdruppels
injecteerbaar geneesmiddel
Stabiliteit van farmaceutische preparaten Stabiliteit in mengsels Factoren die de stabiliteit beïnvloeden Verenigbaarheden Literatuur pdf
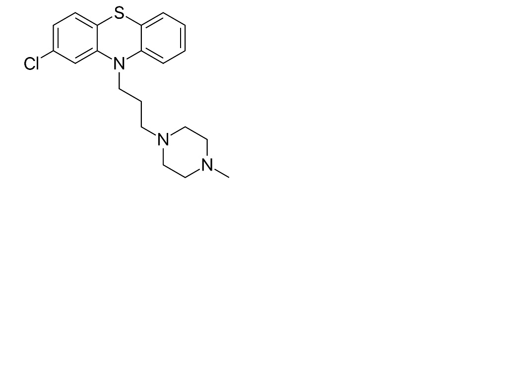
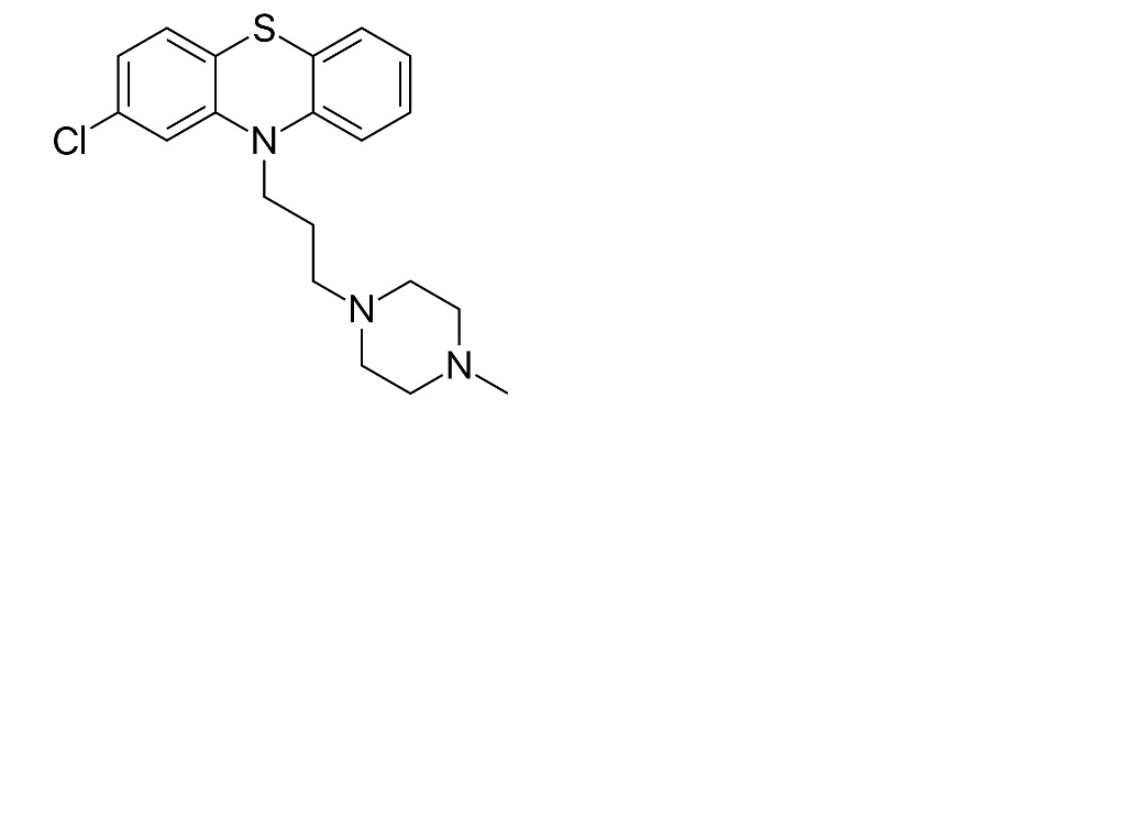
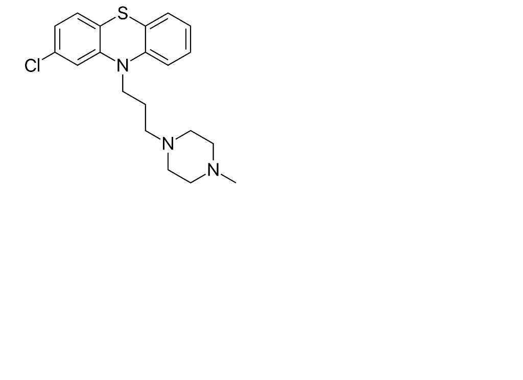
   Molecuulstructuur  

neusdruppels
Literatuur   neusdruppels   Literatuur : Prochlorperazine edysilate  
type publicatie
4054 Artikel Yellepeddi V.
Stability of extemporaneously prepared preservative-free prochlorperazine nasal spray.
Am J Health-Syst Pharm 2018 , 75, 1: 28-35

  Mentions Légales