Son güncelleme :
27/01/2026
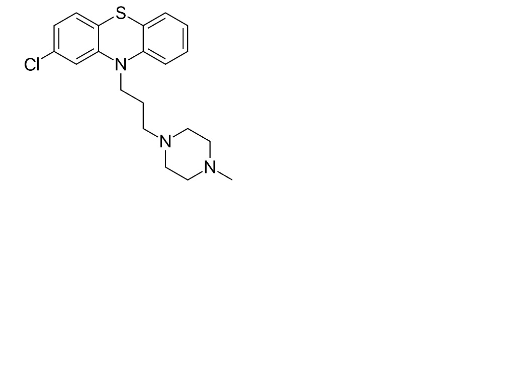
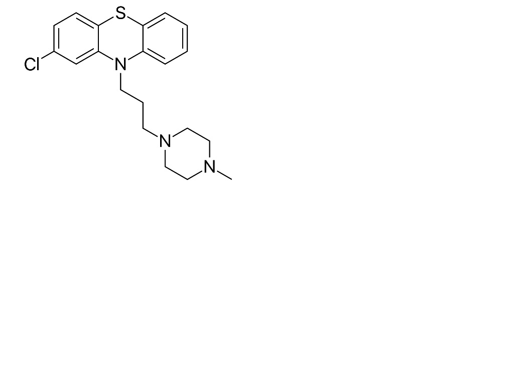
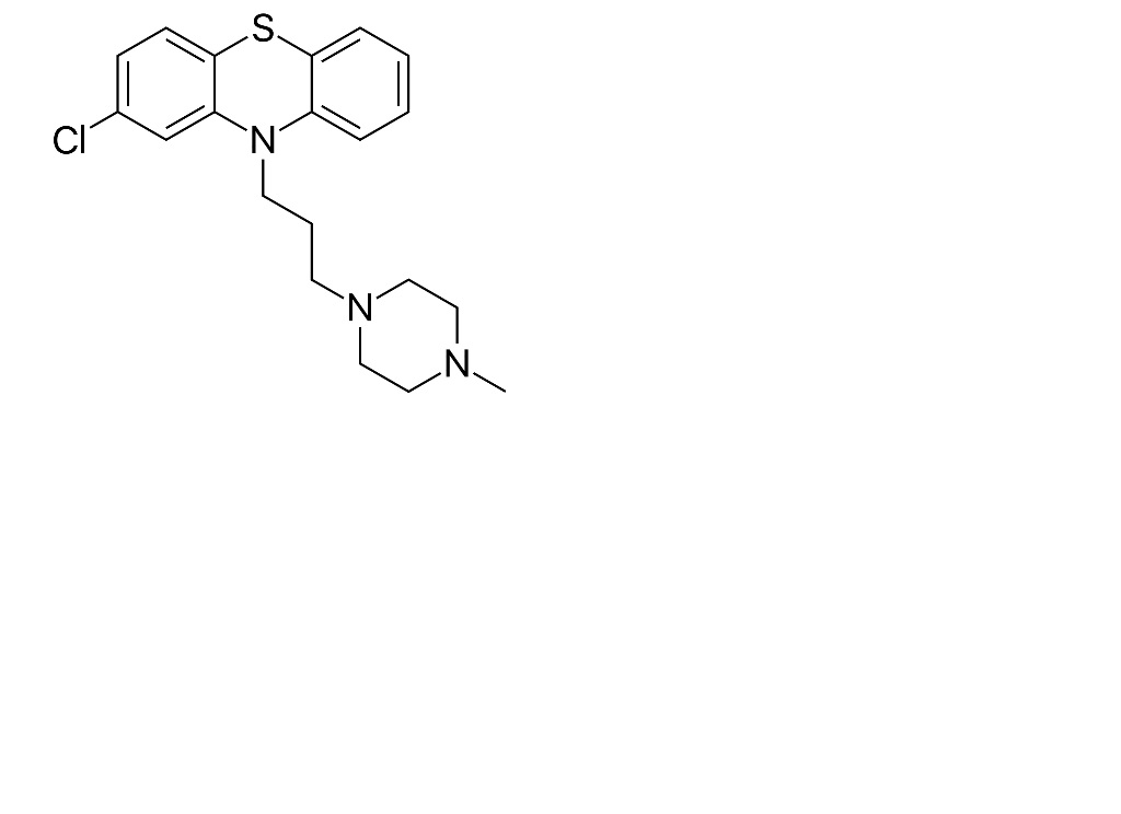
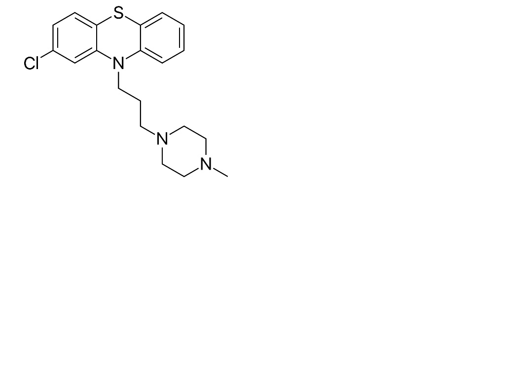
Antiemetik   Prochlorperazine edysilate  
burun damlaları
Enjeksiyon
Farmasötik preparatlar Kararlılığı Karışımlardaki stabilitesi Stabiliteyi etkileyen faktörler Uyumluluk Kaynaklar pdf
   Kimyasal yapı   

burun damlaları
Kaynaklar   burun damlaları   Kaynaklar : Prochlorperazine edysilate  
tip yayın
4054 Dergi Yellepeddi V.
Stability of extemporaneously prepared preservative-free prochlorperazine nasal spray.
Am J Health-Syst Pharm 2018 , 75, 1: 28-35

  Mentions Légales