最新更新 :
27/01/2026
止吐药   Prochlorperazine edysilate  
鼻腔喷剂
注射液
制剂的稳定性 混合物稳定性 影响稳定性的因素 兼容性 引用文献 PDF
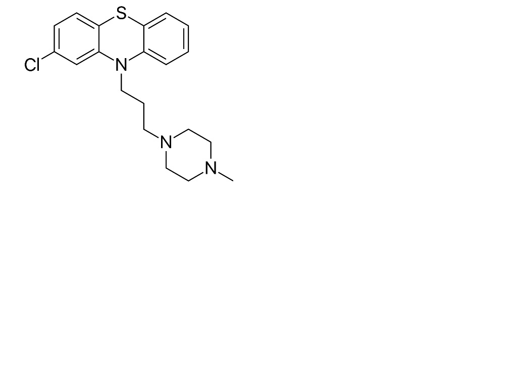
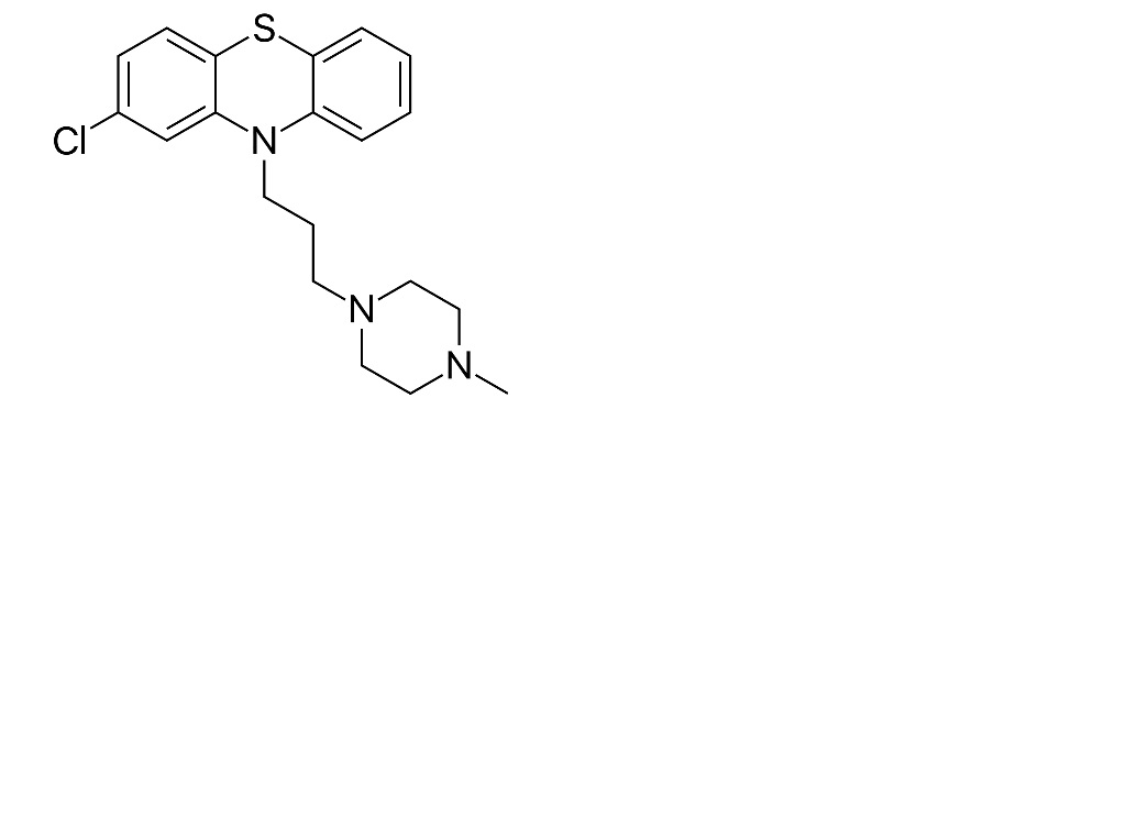
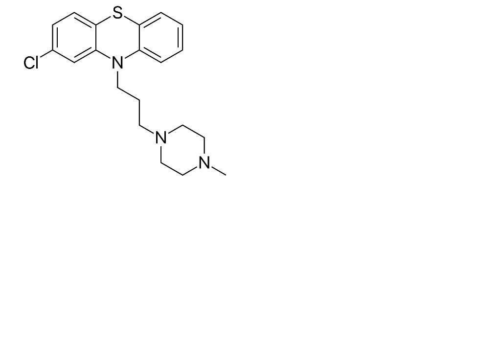
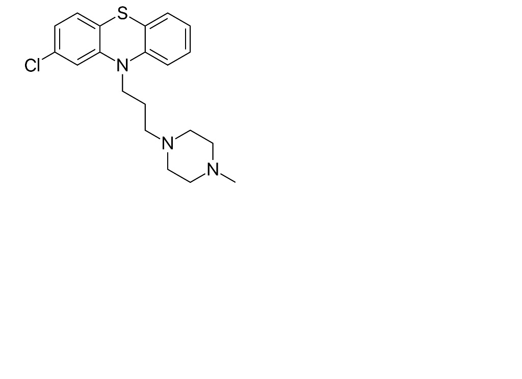
   化学式  

鼻腔喷剂
引用文献   鼻腔喷剂   引用文献 : Prochlorperazine edysilate  
种类 出版物
4054 文献 Yellepeddi V.
Stability of extemporaneously prepared preservative-free prochlorperazine nasal spray.
Am J Health-Syst Pharm 2018 , 75, 1: 28-35

  Mentions Légales