Останнє оновлення :
27/01/2026
Протирвотний засіб   Prochlorperazine edysilate  
краплі в ніс
ін'єкція
Стабільність фармацевтичних препаратів Стійкість сумішей Фактори, що впливають на стабільність Сумісність Список літератури pdf
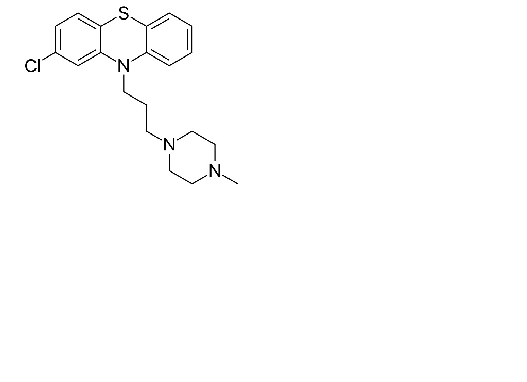
   Хімічна структура  

краплі в ніс
Список літератури   краплі в ніс   Список літератури : Prochlorperazine edysilate  
Тип Публікація
4054 журнал Yellepeddi V.
Stability of extemporaneously prepared preservative-free prochlorperazine nasal spray.
Am J Health-Syst Pharm 2018 , 75, 1: 28-35

  Mentions Légales