Останнє оновлення :
27/04/2026
Антибіотик   Colistin sulfate  
Розчин для перорального застосування
Стабільність фармацевтичних препаратів Стійкість сумішей Фактори, що впливають на стабільність Сумісність Список літератури pdf
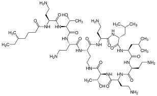
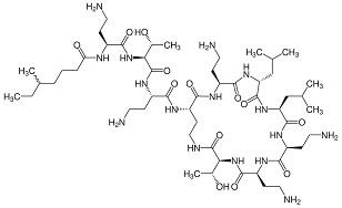
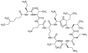
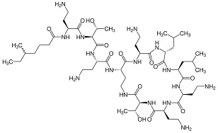
   Хімічна структура  

Розчин для перорального застосування
Стабільність фармацевтичних препаратів   Розчин для перорального застосування   Стабільність фармацевтичних препаратів : Colistin sulfate     
7 / 5 000 Résultats de traduction Немає даних

  Mentions Légales