Senaste uppdateringen :
27/04/2026
Infostab
Förteckning över substanser
Sammanfattande listor
Sök efter kompatibilitet
Kompatibilitetstabell
Hänvisningar
forskargrupper
valistab
Posters
Anslutningar
sponsorer
Författare
Användaranvisning
Nyhetsbladet
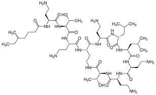
Colistin sulfate
Molekylstruktur
Stabilitet av läkemedel : Colistin sulfate
Ingen uppgift
Mentions Légales