Ostatnia aktualizacja :
27/04/2026
Antybiotyk   Colistin sulfate  
Roztwór doustny
Stabilność preparatów farmaceutycznych Trwałość w mieszaninie Czynnik wpływający na trwałość Zgodność Bibliografia pdf
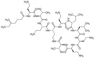
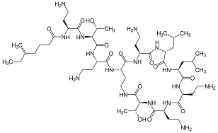
   Struktura chemiczna  

Roztwór doustny
Stabilność preparatów farmaceutycznych   Roztwór doustny   Stabilność preparatów farmaceutycznych : Colistin sulfate     
Brak danych

  Mentions Légales