Останнє оновлення :
27/01/2026
Антибіотик   Colistin sulfate  
Розчин для перорального застосування
Стабільність фармацевтичних препаратів Стійкість сумішей Фактори, що впливають на стабільність Сумісність Список літератури pdf
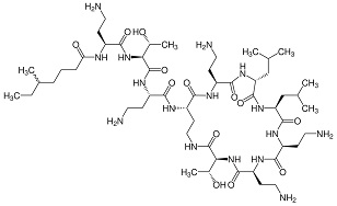
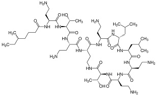
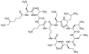
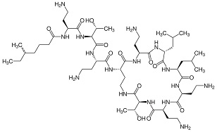
   Хімічна структура  

Розчин для перорального застосування
Стійкість сумішей   Розчин для перорального застосування   Стійкість сумішей : Colistin sulfate     
Контейнер допоміжна речовина З'єднання температура Зберігання Тривалість стабільності Список літератури
пластикова пляшка
метилпарабен 9,5 mg
Пропілпарабен 3 mg
Бензоат натрію 10 mg
Метабісульфіт натрію 7,5 mg
Натрію фосфат 132,8 mg
KCl 29,4 mg
Na2HPO4 52, mg
Очищена вода >> 10 ml
Ampho-Moronal® 5 ml
Розчин для перорального застосування   Colistin sulfate powder118 mg  ® = ?
Розчин для перорального застосування   Amphotericin B powder500 mg  ® = ?
Розчин для перорального застосування   Tobramycin sulfate powder121,75 mg  ® = ?
2-8°C
180 День
Берегти від світла 3685

  Mentions Légales