Последно актуализиране :
27/01/2026
Антибиотик   Colistin sulfate  
Орален разтвор
Стабилност на лекарствени препарати Стабилност на смеси Фактори, повлияващи стабилността Съвместимост Библиография Pdf
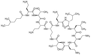
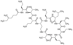
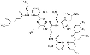
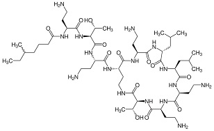
   Химична структура  

Орален разтвор
Стабилност на лекарствени препарати   Орален разтвор   Стабилност на лекарствени препарати : Colistin sulfate     
Няма данни

  Mentions Légales