Last update :
27/01/2026
Antibiotic   Colistin sulfate  
Oral solution
Stability of pharmaceutical preparations Stability of mixtures Factors which affect stability Compatibility References pdf
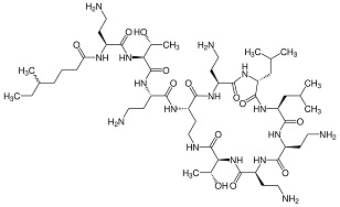
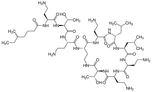
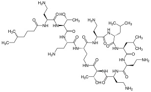
   Chemical structure  

Oral solution
Stability of pharmaceutical preparations   Oral solution   Stability of pharmaceutical preparations : Colistin sulfate     
No data

  Mentions Légales