Ultimele actualizari :
27/04/2026
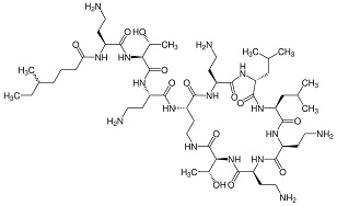
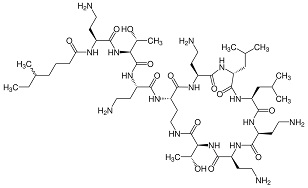
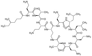
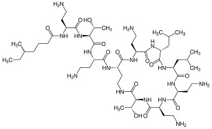
Antibiotic   Colistin sulfate  
Soluţie orală
Stabilitatea preparatelor farmaceutice Stabilitatea in amestec Factorii care influenteaza stabilitatea Compatibilitate Bibliografie pdf
   Formula chimica  

Soluţie orală
Stabilitatea preparatelor farmaceutice   Soluţie orală   Stabilitatea preparatelor farmaceutice : Colistin sulfate     
Absenta de date

  Mentions Légales