Siste oppdatering :
27/01/2026
Antibiotika   Colistin sulfate  
Mikstur
Stabilitet av farmasøytiske preparater Stabilitet i blandinger Faktorer som påvirker stabiliteten Kompatibilitet Referanser pdf
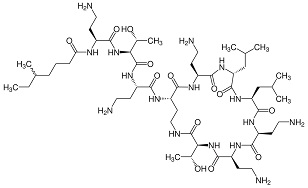
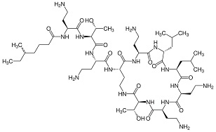
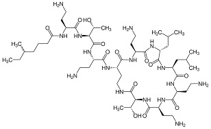
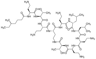
   Kjemisk struktur  

Mikstur
Stabilitet i blandinger   Mikstur   Stabilitet i blandinger : Colistin sulfate     
Beholder Hjelpestoff Legemiddel Temperatur Oppbevaring Varighet av stabilitet Referanser
Plastflaske
Metylparaben 9,5 mg
Propylparaben 3 mg
Natriumbenzoat 10 mg
Natriummetabisulfitt 7,5 mg
Natriumfosfat 132,8 mg
KCl 29,4 mg
Na2HPO4 52, mg
Renset vann >> 10 ml
Ampho-Moronal® 5 ml
Mikstur   Colistin sulfate Pulver118 mg  ® = ?
Mikstur   Amphotericin B Pulver500 mg  ® = ?
Mikstur   Tobramycin sulfate Pulver121,75 mg  ® = ?
2-8°C
180 Dag
Beskyttes mot lys 3685

  Mentions Légales