Τελευταία ενημέρωση :
27/01/2026
Αντιβιοτικό   Colistin sulfate  
Πόσιμο διάλυμα
Σταθερότητα και συμβατότητα των φαρμάκων Σταθερότητα σε μίγματα Παράγοντας που επηρεάζει τη σταθερότητα Συμβατότητες Βιβλιογραφία pdf
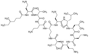
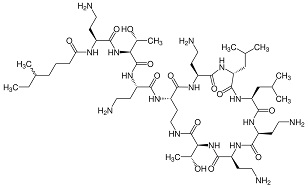
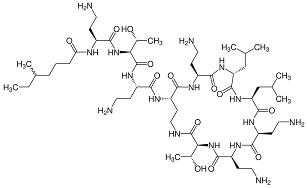
   χημική δομή  

Πόσιμο διάλυμα
Σταθερότητα σε μίγματα   Πόσιμο διάλυμα   Σταθερότητα σε μίγματα : Colistin sulfate     
Υποδοχέας Έκδοχο Συστατικό Θερμοκρασία Αποθήκευση Διάρκεια σταθερότητας Βιβλιογραφία
Πλαστικό μπουκάλι
Μεθυλπαραμπέν 9,5 mg
Προπυλπαραμπέν 3 mg
Βενζοϊκό νάτριο 10 mg
Μεταδιθειώδες νάτριο 7,5 mg
Φωσφορικό νάτριο 132,8 mg
KCl 29,4 mg
Na2HPO4 52, mg
Κεκαθαρμένο νερό >> 10 ml
Ampho-Moronal® 5 ml
Πόσιμο διάλυμα   Colistin sulfate Σκόνη118 mg  ® = ?
Πόσιμο διάλυμα   Amphotericin B Σκόνη500 mg  ® = ?
Πόσιμο διάλυμα   Tobramycin sulfate Σκόνη121,75 mg  ® = ?
2-8°C
180 Ημέρα
Προστατεύετε από το φως 3685

  Mentions Légales