Senaste uppdateringen :
27/01/2026
Antibiotikum   Colistin sulfate  
Oral lösning
Stabilitet av läkemedel Stabilitet i blandningar Faktorer som påverkar stabiliteten Kompatibilitet Hänvisningar pdf
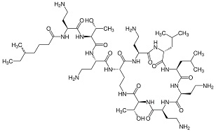
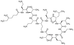
   Molekylstruktur  

Oral lösning
Stabilitet i blandningar   Oral lösning   Stabilitet i blandningar : Colistin sulfate     
Behållare Hjälpämne Substans Temperatur Förvaring Stabilitets varaktighet Hänvisningar
Plastflaska
Metylparaben 9,5 mg
Propylparaben 3 mg
Natriumbensoat 10 mg
Natriummetabisulfit 7,5 mg
Natriumfosfat 132,8 mg
KCl 29,4 mg
Na2HPO4 52, mg
Renat vatten >> 10 ml
Ampho-Moronal® 5 ml
Oral lösning   Colistin sulfate Pulver118 mg  ® = ?
Oral lösning   Amphotericin B Pulver500 mg  ® = ?
Oral lösning   Tobramycin sulfate Pulver121,75 mg  ® = ?
2-8°C
180 Dag
Skyddas från ljus 3685

  Mentions Légales