Poslední aktualizace :
27/01/2026
Antibiotikum   Colistin sulfate  
Perorální roztok
Stabilita farmaceutických přípravků Stabilita směsí Faktory ovlivňující stabilitu Kompatibilita Odkazy pdf
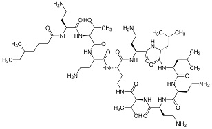
   Chemický vzorec  

Perorální roztok
Stabilita směsí   Perorální roztok   Stabilita směsí : Colistin sulfate     
Obal Pomocné látky SlouËenina Teplota Uchovávání Trvání stability Odkazy
plastová láhev
methylparabenu 9,5 mg
propylparaben 3 mg
benzoát sodný 10 mg
Sodík metabisulfite 7,5 mg
sodík fosfát 132,8 mg
KCl 29,4 mg
Na2HPO4 52, mg
Čištěná voda >> 10 ml
Ampho-Moronal® 5 ml
Perorální roztok   Colistin sulfate prášek118 mg  ® = ?
Perorální roztok   Amphotericin B prášek500 mg  ® = ?
Perorální roztok   Tobramycin sulfate prášek121,75 mg  ® = ?
2-8°C
180 Den
Chráněno před světlem 3685

  Mentions Légales