آخر تحديث :
27/01/2026
مضاد حيوي   Colistin sulfate  
عن طريق الفم
استقرار المستحضرات الصيدلانية استقرار مخاليط العوامل التي تؤثر على الاستقرار التوافق مراجع pdf
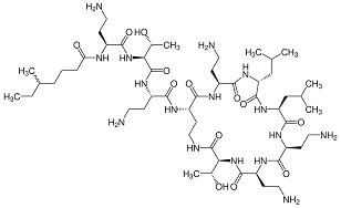
   التركيب الكيميائي  

عن طريق الفم
استقرار مخاليط   عن طريق الفم     استقرار مخاليط : Colistin sulfate     
حاوية الاضافات مركب درجة الحرارة تخزين مدة الاستقرار مراجع
زجاجة من البلاستيك
ميثيل 9,5 mg
بروبيل 3 mg
بنزوات الصوديوم 10 mg
الصوديوم ميتابيسلفيت 7,5 mg
فوسفات الصوديوم 132,8 mg
بوكل 29,4 mg
Na2HPO4 52, mg
تنقية المياه >> 10 ml
Ampho-Moronal® 5 ml
عن طريق الفم    Colistin sulfate مسحوق118 mg  ® = ?
عن طريق الفم    Amphotericin B مسحوق500 mg  ® = ?
عن طريق الفم    Tobramycin sulfate مسحوق121,75 mg  ® = ?
2-8°C
180 يوم
بعيدا عن الضوء 3685

  Mentions Légales