Ultimele actualizari :
27/04/2026
Antiepileptic   Topiramate  
Soluţie orală
Stabilitatea preparatelor farmaceutice Stabilitatea in amestec Factorii care influenteaza stabilitatea Compatibilitate Bibliografie pdf
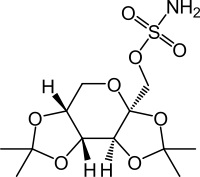
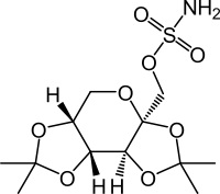
   Formula chimica  

Soluţie orală
Compatibilitate   Soluţie orală   Compatibilitate : Topiramate              
Absenta de date

  Mentions Légales