Последно актуализиране :
27/04/2026
Антиепилептик   Topiramate  
Орален разтвор
Стабилност на лекарствени препарати Стабилност на смеси Фактори, повлияващи стабилността Съвместимост Библиография Pdf
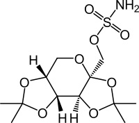
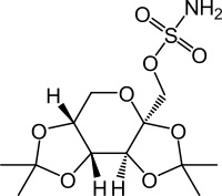
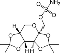
   Химична структура  

Орален разтвор
Съвместимост   Орален разтвор   Съвместимост : Topiramate              
Няма данни

  Mentions Légales