Laatste update :
27/04/2026
Anti-epilepticum   Topiramate  
Orale Oplossing
Stabiliteit van farmaceutische preparaten Stabiliteit in mengsels Factoren die de stabiliteit beïnvloeden Verenigbaarheden Literatuur pdf
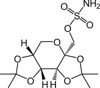
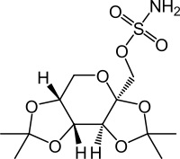
   Molecuulstructuur  

Orale Oplossing
Verenigbaarheden   Orale Oplossing   Verenigbaarheden : Topiramate              
geen gegevens

  Mentions Légales