Последнее обновление :
27/04/2026
Противоэпилептическое средство   Topiramate  
Раствор для перорального приёма
Стабильность фармацевтических препаратов Стабильность смесей Факторы, которые влияют на стабильность Совместимость Библиография pdf
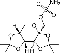
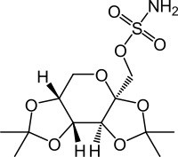
   Химическая структура  

Раствор для перорального приёма
Совместимость   Раствор для перорального приёма   Совместимость : Topiramate              
данных нет

  Mentions Légales