Siste oppdatering :
27/04/2026
Antiepileptika   Topiramate  
Mikstur
Stabilitet av farmasøytiske preparater Stabilitet i blandinger Faktorer som påvirker stabiliteten Kompatibilitet Referanser pdf
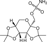
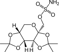
   Kjemisk struktur  

Mikstur
Kompatibilitet   Mikstur   Kompatibilitet : Topiramate              
Ingen opplysninger

  Mentions Légales