Cập nhật lần cuối :
27/04/2026
Thuốc chống viêm   Ketoprofene  
Dạng bôi da
Dạng tiêm Dung dịch uống Thuốc đạn
Tính ổn định của các chế phẩm Độ ổn định khi trộn lẫn Những yếu tố ảnh hưởng đến độ ổn định Khả năng tương thích Tài liệu tham khảo Pdf
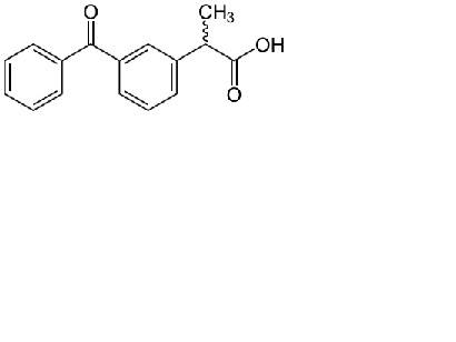
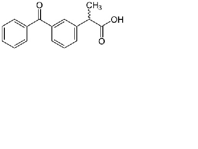
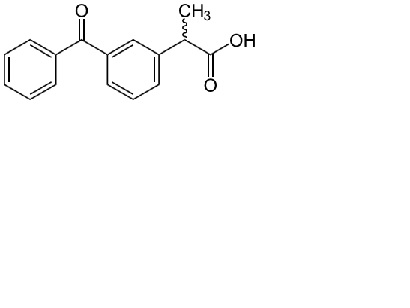
   Cấu trúc hóa học  

Dạng bôi da
Tính ổn định của các chế phẩm   Dạng bôi da   Tính ổn định của các chế phẩm : Ketoprofene     
Không có dữ liệu

  Mentions Légales