Poslední aktualizace :
27/04/2026
Priešuždegiminis vaistas   Ketoprofene  
Tepalai
Geriamas tirpalas Įpurškimas Žvakutė
Stabilumas farmacinių preparatų Mišinių stabilumas Stabilumą lemiantys veiksniai Suderinamumas Bibliografija pdf
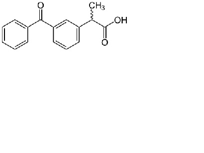
   Cheminė sandara  

Tepalai
Stabilumas farmacinių preparatų   Tepalai   Stabilumas farmacinių preparatų : Ketoprofene     
Nėra duomenų

  Mentions Légales