Utolsó frissítés :
27/04/2026
Gyulladáscsökkentő   Ketoprofene  
kenőcs
belsőleges oldat Injekció kúp
Stabilitása gyógyszerészeti készítmények A keverékek stabilitása Stabilitást befolyásoló tényezők Kompatibilitás Irodalom pdf
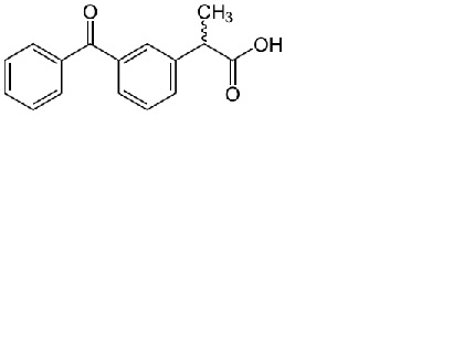
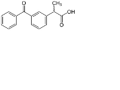
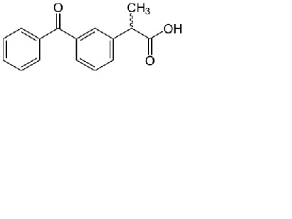
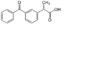
   Kémiai szerkezet   

kenőcs
Stabilitása gyógyszerészeti készítmények   kenőcs   Stabilitása gyógyszerészeti készítmények : Ketoprofene     
Hiányzó adat

  Mentions Légales