Останнє оновлення :
27/04/2026
Протизапальні ліки   Ketoprofene  
Мазі
ін'єкція Розчин для перорального застосування супозиторій
Стабільність фармацевтичних препаратів Стійкість сумішей Фактори, що впливають на стабільність Сумісність Список літератури pdf
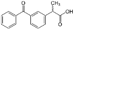
   Хімічна структура  

Мазі
Стабільність фармацевтичних препаратів   Мазі   Стабільність фармацевтичних препаратів : Ketoprofene     
7 / 5 000 Résultats de traduction Немає даних

  Mentions Légales